Lösung
Wenn wir mit einem Problem in einem „realen“ Kontext konfrontiert werden und gebeten werden, ein Gleichungssystem aufzustellen, mit dem sich die Situation algebraisch interpretieren lässt, oder das Problem zu lösen, erscheint es uns oft komplex, von einer natürlichen Sprache in eine symbolische Sprache zu übersetzen. Aus diesem Grund schlagen wir dir in diesem Artikel einige Strategien und Schritte vor, die dir diese Umstellung erleichtern sollen.
Zu befolgende Schritte
1 Die Aufgabenstellung lesen und verstehen.
2 Notiere die Daten mithilfe von: Schemata, Zeichnungen, Baumdiagrammen...
3 Eine Notation wählen, die es uns ermöglicht, die verschiedenen Variablen miteinander in Beziehung zu setzen.
4 Das System aufstellen und lösen.
5 Die Lösung überprüfen.
Beispiel für die Lösung eines Problems mit einem Gleichungssystem
Der Besitzer einer Bar hat Erfrischungsgetränke, Bier und Wein im Wert von
€ (ohne Steuern) gekauft. Der Wert des Weins liegt um
€ unter dem Wert der Erfrischungsgetränke und des Bieres zusammen. Da für Erfrischungsgetränke eine Mehrwertsteuer von
und für Wein von
zu entrichten ist, beläuft sich die Gesamtrechnung inklusive Steuern auf
€.
Berechne den für jede Getränkesorte gezahlten Betrag.
1 Die Aufgabenstellung lesen und verstehen.
- Um das Problem zu lösen, beachten wir zunächst, dass wir den für jede Getränkesorte ausgegebenen Betrag berechnen sollen, wobei für jedes Getränk eine andere Mehrwertsteuer zu zahlen ist.
2 Notiere die Daten mithilfe von: Schemata, Zeichnungen, Baumdiagrammen...
Die Daten, die uns das Problem liefert, sind folgende:
- Der ohne Steuern gezahlte Betrag für Erfrischungsgetränke, Bier und Wein beträgt
€. - Der Wert des Weins liegt um
€ unter dem Wert der Erfrischungsgetränke und des Bieres zusammen. - Für Erfrischungsgetränke muss eine Mehrwertsteuer von
und für Wein von
gezahlt werden, wobei sich der Endbetrag auf
€ beläuft.
3 Eine Notation wählen, die es uns ermöglicht, die verschiedenen Variablen miteinander in Beziehung zu setzen.
Da wir daran interessiert sind, den Wert von Erfrischungsgetränken, Bier und Wein zu ermitteln, können wir die folgenden Variablen definieren.
Betrag in € für die Erfrischungsgetränke.
Betrag in € für das Bier.
Betrag in € für den Wein.
4 Das System aufstellen und lösen.
Um das System aufzustellen, müssen die im zweiten Teil angegebenen Ausdrücke in algebraische Ausdrücke umgewandelt werden, wobei wir uns auf die im dritten Teil definierten Variablen stützen:
- Der ohne Steuern gezahlte Betrag für Erfrischungsgetränke, Bier und Wein beträgt
€. Algebraisch lässt sich dies wie folgt ausdrücken:

- Der Wert des Weins ist
€ geringer als der Wert der Erfrischungsgetränke und des Bieres zusammen. Dies lässt sich wie folgt ausdrücken:

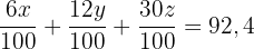
- Für Erfrischungsgetränke muss eine Mehrwertsteuer von
und für Wein von
gezahlt werden, sodass sich der Endbetrag auf
€ (davon
Steuern) beläuft. Dies kann wie folgt ausgedrückt werden:
und somit
- So erhalten wir das folgende System aus drei Gleichungen mit drei Unbekannten:
- Wir lösen das el System aus drei Gleichungen mit drei Unbekannten und erhalten:
5 Die Lösung überprüfen.
- Um die Lösung zu überprüfen, können wir sie in das ursprüngliche System einsetzen:

Mit KI zusammenfassen:








