Zunächst einmal führst Du eine alternative Schreibweise für die Ableitungen einer Funktion
.
Der Grund für die Einführung alternativer Schreibweisen für ein und dasselbe Konzept liegt darin, dass es Fälle gibt, in denen die Entwicklungen sehr umfangreich oder kompliziert sind und es notwendig ist, die Funktion weniger umfangreich zu gestalten, um sie praktikabler zu machen, da es hier darauf ankommt, dass sie weiterhin dasselbe Konzept darstellen.
Die erste Ableitung einer Funktion hat drei Bezeichnungen, die du hier vorfindest:
und die zweite Ableitung einer Funktion (die Ableitung der Ableitung), hat die folgenden alternativen Schreibweisen:
in diesem Fall verwendest Du der Übersichtlichkeit halber die Schreibweise
für die erste Ableitung und
für die zweite Ableitung.
Nachdem Du die Schreibweise festgelegt hast, die Du verwenden wirst, untersuchst Du nun einige Eigenschaften der Funktionen.
Genauer gesagt, solltest Du die Kriterien kennen, die Dir sagen, wo eine Funktion ihren höchst- oder niedrigstmöglichen Wert innerhalb einer bestimmten Region erreicht, weshalb sie als relatives Maximum oder Minimum bezeichnet werden.
Relative Extremwerte
Einfach ausgedrückt handelt es sich dabei um Punkte, an denen eine Funktion einen maximalen oder minimalen Wert erreicht, und zwar im Vergleich zu den Punkten einer Umgebung, die sich in ihrer Nähe befinden. Diese Art von Punkten wird als relative Extrempunkte bezeichnet.
Wenn
eine ableitbare Funktion in
, ist, dann ist
ein relatives oder lokales Extremum, wenn:
Relatives Maximum
Wenn
eine ableitbare Funktion in
ist, dann ist
ein relatives oder lokales Maximum, wenn:
Relative Minima
Wenn
eine ableitbare Funktion in
ist, dann ist
ein relatives oder lokales Minimum, wenn:
Berechnung von Maxima und Minima
Betrachte die folgende Funktion 
Um die lokalen Extremitäten zu finden, gehst Du wie folgt vor:
1 Finde die erste Ableitung der Funktion und berechne ihre Wurzeln.
Zunächst die Ableitung der Funktion

Nun ihre Wurzeln, die Lösung der Gleichung
Ihre Wurzeln sind also

2Nimm die zweite Ableitung und berechne das Vorzeichen der Wurzeln.
Berechne die zweite Ableitung der Funktion.

Bewerte die in der zweiten Ableitung erhaltenen Wurzeln
,
bei
hat die Funktion ein relatives Maximum
,
bei
hat die Funktion ein relatives Minimum
3Berechne die Bildmenge (in der Funktion) der relativen Extrema.
,
bei
hat der Graph der Funktion ein relatives Maximum
,
bei
hat der Graph der Funktion ein relatives Minimum
Untersuchung der relativen Extremwerte des Wachstums
Da Du Dich bereits mit dem Wachstum und der Abnahme einer Funktion beschäftigt hast, wird es sie folgendermaßen geben:
- Ein Maximum am Punkt der Funktion, wenn die Funktion von steigendem
zu fallendem
übergeht. - Ein Minimum an dem Punkt der Funktion, an dem die Funktion von fallendem
zu steigendem
übergeht.
Beispiel:
Betrachte die folgende Funktion 
Um die lokalen Extremitäten zu finden, gehst Du wie folgt vor:
1 Bestimme den Definitionsbereich der Funktion, die erste Ableitung und berechne ihre Wurzeln.
Zunächst der Definitionsbereich der Funktion
Suche die Punkte, an denen die Funktion unbestimmt ist, d. h. Werte, bei denen 
.
Dieser Wert ist
, er ist der Wert, den Du entfernen musst, also 
.
Berechne nun die Ableitung der Funktion

Nun ihre Wurzeln, die Lösung der Gleichung
Ihre Wurzeln sind

2Nimm die berechneten Werte und erzeuge Sektoren der realen Linie.
Nimm dann einen Wert aus jedem Sektor, werte ihn in der ersten Ableitung aus und beobachte die erhaltenen Vorzeichen, um die Art der Funktion in jedem Sektor zu analysieren.
Nimm die berechneten Werte und erzeuge Sektoren aus der realen Linie
Die Werte sind
, dann sind die Sektoren 
Bewerte ein Element jedes Sektors in der ersten Ableitung
- Sei
, entonces
in
ist die Funktion steigend 
- Sei
, dann ist
in
ist die Funktion steigend 
- Sei
, dann ist
in
ist die Funktion abnehmend 
- Sei
, dann ist
in
ist die Funktion steigend 
In der folgenden Tabelle sind die erhaltenen Informationen aufgeführt:
3Interpretiere die Informationen und ermittle das Maximum oder Minimum.
Du stellst fest, dass zwei Vorzeichenwechsel erzeugt werden, wobei der von
nach
verworfen wird, da hier die Unbestimmtheit vorliegt.
Der nächste Vorzeichenwechsel ist von
zu
, und da er von abnehmend zu ansteigend ist, hat man bei
ein relatives Minimum
4 Bewerte die Zahl in der Funktion, um den Punkt in der Ebene zu bestimmen.
Du siehst, dass
, also am Punkt
, die Funktion ein relatives Minimum hat.
Übungsaufgaben
Betrachte die folgende Funktion 
1 Finde die erste Ableitung der Funktion und berechne ihre Wurzeln.
Zunächst die Ableitung der Funktion

Nun ihre Wurzeln, die Lösung der Gleichung
Ihre Wurzeln sind

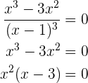
2 Nimm die zweite Ableitung und berechne das Vorzeichen der Wurzeln.
Berechne die zweite Ableitung der Funktion

Bewerte die in der zweiten Ableitung erhaltenen Wurzeln
,
bei
hat die Funktion ein relatives Maximum
,
bei
hat die Funktion ein relatives Minimum
,
bei
hat die Funktion ein relatives Minimum
3 Berechne die Bildmenge (in der Funktion) der relativen Extrema.
,
bei
hat der Graph der Funktion ein relatives Minimum
,
bei
hat der Graph der Funktion ein relatives Maximum
,
bei
hat der Graph der Funktion ein relatives Minimum
Betrachte die folgende Funktion 
1 Finde die erste Ableitung der Funktion und berechne ihre Wurzeln.
Zunächst die Ableitung der Funktion

Nun ihre Wurzeln, die Lösung der Gleichung
bedeutet, dass ihre Wurzel

2 Nimm die zweite Ableitung und berechne das Vorzeichen der Wurzeln.
Berechne die zweite Ableitung der Funktion

Berechne die Wurzel aus der zweiten Ableitung
,
bei
hat die Funktion ein relatives Minimum
3 Berechne die Bildmenge (in der Funktion) der relativen Extrema.
bei
hat der Graph der Funktion ein relatives Minimum
Betrachte die folgende Funktion 
1 Finde die erste Ableitung der Funktion und berechne ihre Wurzeln.
Zunächst die Ableitung der Funktion

Nun ihre Wurzeln, die Lösung der Gleichung
bedeutet, dass ihre Wurzeln

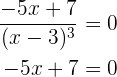
2Nimm die zweite Ableitung und berechne das Vorzeichen der Wurzeln.
Berechne die zweite Ableitung der Funktion

Bewerte die in der zweiten Ableitung erhaltenen Wurzeln
,
bei
, hat die Funktion ein relatives Maximum
,
e bei
hat die Funktion ein relatives Minimum
3 Berechne die Bildmenge (in der Funktion) der relativen Extrema.
,
bei
hat der Graph der Funktion ein relatives Maximum
,
bei
hat der Graph der Funktion ein relatives Minimum
Betrachte die folgende Funktion
.
In diesem Fall ist es notwendig, den Definitionsbereich zu berücksichtigen, da Du möglicherweise Werte verwerfen musst, die nicht zu ihr gehören.
Das sollte eigentlich immer gemacht werden, aber es wird nicht gemacht, wenn klar ist, was der Definitionsbereich ist.
0 Finde den Definitionsbereich der Funktion
Der Definitionsbereich der natürlichen Logarithmusfunktion ist derjenige, in dem das Argument positiv ist, also musst Du
lösen
Die Lösungen von
son
. Das bedeutet, dass Du die Sektoren
erzeugen musst, und von dort eine Zahl aus jedem Sektor nimmst, sie in
auswertest und das erzeugte Vorzeichen kennst, um schließlich zu lösen.
Das bedeutet, dass die Lösung der Ungleichung, also der Bereich der Funktion, 
1Finde die erste Ableitung der Funktion und berechne ihre Wurzeln.
Zunächst die Ableitung der Funktion

Nun ihre Wurzeln, die Lösung der Gleichung
Ihre Wurzeln sind

Ignoriere
, da 
2 Nimm die zweite Ableitung und berechne das Vorzeichen der Wurzeln.
Berechne die zweite Ableitung der Funktion

Bewerte die in der zweiten Ableitung erhaltenen Wurzeln
,
bei
Funktion hat relatives Maximum
3 Berechne die Bildmenge (in der Funktion) der relativen Extrema.
,
bei
hat der Graph der Funktion ein relatives Maximum
Betrachte die folgende Funktion 
1 Finde die erste Ableitung der Funktion und berechne ihre Wurzeln.
Zunächst die Ableitung der Funktion

Nun ihre Wurzeln, die Lösung der Gleichung
Ihre Wurzeln sind
, con 
2 Nimm die zweite Ableitung und berechne das Vorzeichen der Wurzeln.
Berechne die zweite Ableitung der Funktion

Bewerte die in der zweiten Ableitung erhaltenen Wurzeln
,
bei
hat die Funktion ein relatives Minimum für jedes 
,
bei
hat die Funktion ein relatives Maximum für jedes 
3 Berechne die Bildmenge (in der Funktion) der relativen Extrema.
,
bei
hat der Graph der Funktion ein relatives Minimum für jedes 
,
bei
hat der Graph der Funktion ein relatives Maximum für jedes para cada 
Probleme
Bestimme
,
y
so, dass die Funktion
ein Maximum für
, hat, ein Minimum für
, und den Wert
para
annimmt.
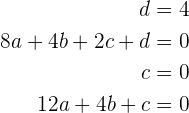
Das Problem äußert sich darin, dass die folgenden Bedingungen eintreten:
was bedeutet, dass Du die erste Ableitung der Funktion berechnen musst
und mit diesem die Bewertungen durchführen
Erstelle ein Drei-mal-Drei-Gleichungssystem
dessen Lösung
ist
Bestimme den Wert von
,
,
und
so dass die Funktion
ein Maximum bei
und ein Minimum bei
hat.
Das Problem äußert sich darin, dass die folgenden Bedingungen eintreten:
bedeutet, dass Du die erste Ableitung der Funktion berechnen musst
und nimm dann die entsprechenden Bewertungen vor
die das folgende Vier-mal-Vier-Gleichungssystem erzeugen
dessen Lösung
ist
Gegeben ist die Funktion: 
Berechne
,
und
, so dass
bei
ein lokales Extremum hat und die Kurve durch den Koordinatenursprung verläuft.
Das Problem äußert sich darin, dass die folgenden Bedingungen eintreten:
bedeutet, dass Du die erste Ableitung der Funktion berechnen musst
und nimm dann die entsprechenden Bewertungen vor
das folgende Drei-mal-Drei-Gleichungssystem erzeugt
dessen Lösung
ist
Fince
y
so, dass die Funktion:
Extrema an den Punkten
y
hat. Für diese Werte von
und
, welche Art von Extremen hat die Funktion in
und in
?
Berechne die erste und die zweite Ableitung der Funktion, um die Bedingungen zu finden, unter denen sie extrem sind, und um ihre Art zu kennen.
Da Du nun willst, dass die Funktion an den Punkten
und
,
Extrema hat, stellst Du folgende Gleichungen auf
ein System wird erzeugt, dessen Lösung ist:
und
.
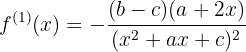
Du hast bereits die Werte gefunden, die dazu führen, dass die Funktion an der angegebenen Stelle Extremwerte aufweist, nun willst Du ihre Art ansehen. Hierfür benötigst Du die zweite Ableitung der Funktion:
Schaue dir nun die Art der einzelnen Enden an
,
bei
, hat die Funktion ein relatives Minimum
,
bei
, hat die Funktion ein relatives Maximum
Mit KI zusammenfassen:




































