Stelle die Funktionen mit Betrag dar und berechne ihre Definitionsmenge


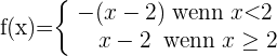
1 Wir setzen die Funktion gleich 0, ohne den Betrag, und berechnen ihre Nullstellen.

2 Wir bilden Intervalle mit den Nullstellen und werten das Vorzeichen jedes Intervalls aus

3 Wir definieren die Funktion abschnittsweise, wobei zu berücksichtigen ist, dass in den Intervallen, in denen
negativ ist, sich das Vorzeichen der Funktion ändert

4 Wir stellen die Funktion grafisch dar





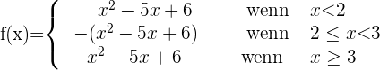
1 Wir setzen die Funktion gleich 0, ohne den Betrag, und berechnen ihre Nullstellen

2 Wir bilden Intervalle mit den Nullstellen und werten das Vorzeichen jedes Intervalls aus

3 Wir definieren die Funktion abschnittsweise, wobei zu berücksichtigen ist, dass in den Intervallen, in denen
negativ ist, sich das Vorzeichen der Funktion ändert

4 Wir stellen die Funktion grafisch dar





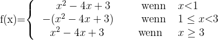
1 Wir setzen die Funktion gleich 0, ohne den Betrag, und berechnen ihre Nullstellen


2 Wir bilden Intervalle mit den Nullstellen und werten das Vorzeichen jedes Intervalls aus

3 Wir definieren die Funktion abschnittsweise, wobei zu berücksichtigen ist, dass in den Intervallen, in denen
negativ ist, sich das Vorzeichen der Funktion ändert

4 Wir stellen die Funktion grafisch dar





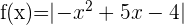
1 Wir setzen die Funktion gleich 0, ohne den Betrag, und berechnen ihre Nullstellen.


2 Wir bilden Intervalle mit den Nullstellen und werten das Vorzeichen jedes Intervalls aus

3 Wir definieren die Funktion abschnittsweise, wobei zu berücksichtigen ist, dass in den Intervallen, in denen
negativ ist, sich das Vorzeichen der Funktion ändert

4 Wir stellen die Funktion grafisch dar






1 Wir setzen die Funktion gleich 0, ohne den Betrag, und berechnen ihre Nullstellen



2 Wir bilden Intervalle mit den Nullstellen und werten das Vorzeichen jedes Intervalls aus

3 Wir definieren die Funktion abschnittsweise, wobei zu berücksichtigen ist, dass in den Intervallen, in denen
negativ ist, sich das Vorzeichen der Funktion ändert

4 Wir stellen die Funktion grafisch dar





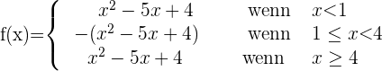
1 Wir setzen die Funktion gleich 0, ohne den Betrag, und berechnen ihre Nullstellen.
2 Wir bilden Intervalle mit den Nullstellen und werten das Vorzeichen jedes Intervalls aus

3 Wir definieren die Funktion abschnittsweise, wobei zu berücksichtigen ist, dass in den Intervallen, in denen
negativ ist, sich das Vorzeichen der Funktion ändert

Was dasselbe ist wie:

4 Wir stellen die Funktion grafisch dar





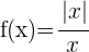
1 Wir setzen den Teil der Funktion, der vom Betrag betroffen ist, gleich 0 und berechnen ihre Nullstellen
2 Wir bilden Intervalle mit den Nullstellen und werten das Vorzeichen jedes Intervalls aus

3 Wir definieren die Funktion abschnittsweise, wobei zu berücksichtigen ist, dass in den Intervallen, in denen
negativ ist, sich das Vorzeichen der Funktion ändert

Was dasselbe ist wie

4 Wir stellen die Funktion grafisch dar



Mit KI zusammenfassen:
