Regel von L'Hôpital
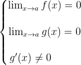
Wenn
und
zwei stetige Funktionen sind, für die gilt
Die Regel von L'Hôpital besagt, dass
.
Um die Regel von L'Hôpital anwenden zu können, muss man einen Grenzwert der Form
haben, und eine der folgenden Unbestimmtheiten aufweisen
,
Hier findest Du einige gelöste Übungen, die Dir helfen, die Zusammenhänge besser zu verstehen
Gelöste Aufgaben der L'Hôpital-Regel

1 Identifizierung der Unbestimmtheit
2 Anwendung der L'Hôpital-Regel
Leite den Zähler und den Nenner des Quotienten ab. Setze Grenzwerte.

3 Ermittle den Grenzwert


1 Identifizierung der Unbestimmtheit
2 Anwendung der L'Hôpital-Regel
Leite den Zähler und den Nenner des Quotienten ab. Setze Grenzwerte.

Auch hier ergibt sich eine Unbestimmtheit, so dass wir erneut die L'Hôpital-Regel anwenden

Noch einmal

3 Ermittle den Grenzwert


1 Identifizierung der Unbestimmtheit
2 Anwendung der L'Hôpital-Regel
Leite den Zähler und den Nenner des Quotienten ab. Setze Grenzwerte.

Wende die Regel erneut an

3 Ermittle den Grenzwert


1 Identifizierung der Unbestimmtheit
2 Anwendung der L'Hôpital-Regel
Leite den Zähler und den Nenner des Quotienten ab. Setze Grenzwerte.

Verwende die folgende Eigenschaft der trigonometrischen Funktionen
und wende erneut die Regel von L'Hôpital an

3 Ermittle den Grenzwert

Unbestimmte Formen von Potenzen
Die unbestimmten Formen
,
und
erhält man, wenn man folgende Ausdrücke der Form hat:
Diese Unbestimmtheiten werden zunächst durch Anwendung der Eigenschaften des Logarithmus gelöst:
Du hast Deine Funktion
Wende den Logarithmus an
Verwende eine exponentielle Funktion
Dann
Um den Anfangsgrenzwert zu bestimmen, genügt es also, den Grenzwert des Logarithmus zu ermitteln
Der ursprüngliche Grenzwert wird also sein
Lösungsaufgaben mit Unbestimmtheiten

1 Identifizierung der Unbestimmtheit
2 Nimm den Grenzwert des Logarithmus

Du hast eine unvollständige Form 
3 Anwendung der L'Hôpital-Regel

Unvollständige Form 
Wende erneut die Regel von L'Hôpital an

4 Erhalte den Grenzwert
Deshalb

Und dann


1 Identifizierung der Unbestimmtheit
2 Nimm den Grenzwert des Logarithmus

Du hast eine unbestimmte Form 
3 Anwendung der L'Hôpital-Regel
Durch Ableitung erhältst Du

Dann

4 Du erhältst den ursprünglichen Grenzwert
Deshalb

Und dann


1 Identifizierung der Unbestimmtheit
2 Nimm den Grenzwert des Logarithmus

Du hast eine unbestimmte Form 
3 Anwendung der L'Hôpital-Regel
Durch Ableitung erhältst Du

Dann

Wende die Regel von L'Hôpital erneut an

4 Du erhältst den ursprünglichen Grenzwert
Deshalb

Und dann


1 Identifizierung der Unbestimmtheit
2 Berechne den Grenzwert des Logarithmus

Du hast eine unvollständige Form 
3 Anwendung der L'Hôpital-Regel
Durch Ableitung erhältst Du

4 Du erhältst den ursprünglichen Grenzwert
Deshalb:

Und dann

Lösungsaufgaben zur Unbestimmtheit unendlich minus unendlich
In diesen Fällen musst Du beachten, wie "schnell" die Funktionen ins Unendliche gehen. Wenn es sich um Brüche handelt, werden sie außerdem auf einen gemeinsamen Nenner gebracht.

1 Identifizierung der Unbestimmtheit
2 Schreibe den Ausdruck um

3 Anwendung der L'Hôpital-Regel
Durch Ableitung erhältst Du

Du erhältst eine weitere Unbestimmtheit, also wendest Du die Regel erneut an

4 Erhalte den Grenzwert
Deshalb


1 Identifizierung der Unbestimmtheit
2 Schreibe den Ausdruck um

3 Anwendung der L'Hôpital-Regel
Durch Ableitung erhältst Du

Du erhältst eine weitere Unbestimmtheit, also wendest Du die Regel erneut an

4 Erhalte den Grenzwert
Deshalb

Unbestimmte Null durch Unendlichkeit
Diese Formen der Unbestimmtheit können in bereits bekannte Fälle wie
ó
.
Wie unten dargestellt, musst Du
wobei
und 
Dann kannst Du es so umschreiben, dass es einfacher ist, die Ableitung herauszunehmen
oder
Damit kannst Du nun die L'Hôpital-Regel anwenden
Lösungsaufgaben zur unbestimmten Null durch Unendlichkeit

1 Identifizierung der Unbestimmtheit
2 Schreibe den Ausdruck um

Unbestimmtheit vom Typ 
3 Anwendung der L'Hôpital-Regel
Durch Ableitung erhältst Du

4 Erhalte den Grenzwert
Deshalb:


1 Identifizierung der Unbestimmtheit
2 Schreibe den Ausdruck um

Um die L'Hôpital-Regel anwenden zu können, drückst Du das Gleiche auf eine bequeme Weise aus

3 Anwendung der L'Hôpital-Regel
Durch Ableitung erhältst Du

4 Erhalte den Grenzwert
Deshalb:

Verschiedene Übungen zu Unbestimmtheiten und der Regel L'Hôpital

1 Identifizierung der Unbestimmtheit 
2 Anwendung der L'Hôpital-Regel
Leite den Zähler und den Nenner des Quotienten ab. Setze Grenzwerte.

3 Ermittle den Grenzwert


1 Identifizierung der Unbestimmtheit
2 Anwendung der L'Hôpital-Regel
Leite den Zähler und den Nenner des Quotienten ab. Setze Grenzwerte.

3 Ermittle den Grenzwert


1 Identifizierung der Unbestimmtheit
2 Das Problem neu formulieren
Nur wenn Du die Gleichung umstellst, kannst Du die Bedingungen für die Anwendung der Regel von L'Hôpital finden

3 Anwendung der L'Hôpital-Regel
Leite den Zähler und den Nenner des Quotienten ab. Setze Grenzwerte.

4 Ermittle den Grenzwert


1 Identifizierung der Unbestimmtheit
2 Berechne den Grenzwert des Logarithmus

Du hast eine unvollständige Form 
3 Anwendung der L'Hôpital-Regel
Leite den Zähler und den Nenner des Quotienten ab. Setze Grenzwerte.

4 Ermittle den Grenzwert


1 Identifizierung der Unbestimmtheit
2 Berechne den Grenzwert des Logarithmus

Du hast eine unvollständige Form 
3 Anwendung der L'Hôpital-Regel
Leite den Zähler und den Nenner des Quotienten ab. Setze Grenzwerte.

Erneute Anwendung der L'Hôpital-Regel

4 Ermittle den Grenzwert


1 Identifizierung der Unbestimmtheit
2 Anwendung der L'Hôpital-Regel
Leite den Zähler und den Nenner des Quotienten ab. Setze Grenzwerte.

Wende erneut die Regel von L'Hôpital an

3 Ermittle den Grenzwert


1 Identifizierung der Unbestimmtheit
2 Schreibe den Ausdruck um

Unbestimmtheit 
3 Anwendung der L'Hôpital-Regel

Wende erneut die Regel von L'Hôpital an

4 Ermittle den Grenzwert


1 Identifizierung der Unbestimmtheit
2 Nimm den Grenzwert des Logarithmus

Du hast eine unvollständige Form 
3 Anwendung der L'Hôpital-Regel

4 Erhalte den ursprünglichen Grenzwert


1 Identifizierung der Unbestimmtheit
2 Nimm den Grenzwert des Logarithmus

Stelle die Gleichung um

Du hast eine unbestimmte Form 
3 Anwendung der L'Hôpital-Regel

Wende erneut die Regel von L'Hôpital an

4 Erhalte den ursprünglichen Grenzwert

Mit KI zusammenfassen:
