Beispiele für Optimierungsprobleme und deren Lösung.
Finde von allen gleichschenkligen Dreiecken mit
Umfang die Seiten des Dreiecks mit dem größten Flächeninhalt. 
Wir müssen den Flächeninhalt des Dreiecks optimieren (maximieren), d. h. die durch den Flächeninhalt definierte Funktion. Da das Dreieck gleichschenklig ist, ist seine Grundseite die Seite
, die gleichen Seiten sind
, und seine Höhe können wir mithilfe des Satzes des Pythagoras berechnen,
wir erhalten also

Unter der Voraussetzung, dass der Umfang des Dreiecks
beträgt, können wir die Variablen in Beziehung setzen:

Dieses Ergebnis können wir in die Funktion einsetzen:

Um die lokalen Extrema zu finden, leiten wir ab, setzen sie gleich 0 und berechnen die Nullstellen:



Wir denken daran, dass wir ein lokales Maximum erhalten, wenn die 2. Ableitung ein negatives Vorzeichen hat. Wir führen also die 2. Ableitung durch und werten nach
aus, da die Lösung
nicht möglich ist.



Es ist also bewiesen, dass es bei
ein Maximum gibt. Die Grundseite
misst
und die schiefen Seiten
messen ebenfalls
, so dass das Dreieck mit dem größten Flächeninhalt ein gleichseitiges Dreieck wäre.
Der Wert eines Diamanten ist proportional zum Quadrat seines Gewichts. Teilen Sie einen 2 g schweren Diamanten in zwei Teile, sodass die Summe der Werte der beiden entstandenen Diamanten minimal ist.
Angenommen,
ist das Gewicht eines Diamanten. Da der Wert des Diamanten proportional zum Quadrat des Gewichts ist, muss der Wert unseres Diamanten durch
gegeben sein, wobei
eine positive Proportionalitätskonstante ist. Wenn man einen Diamanten von
in zwei Teile mit den Gewichten
und
teilt, erhält man eine Gleichung, die die Werte von
und
miteinander in Beziehung setzt,
Die Werte der einzelnen Teile sind also: 
Und die Funktion, die wir optimieren wollen, ist diejenige, die sich aus der Summe dieser Werte ergibt: 
Um die Extremwerte dieser Funktion zu finden, müssen wir ableiten und gleich 0 setzen:


Wie wir sehen können, haben wir eine Lösung
für unser Problem. Um zu prüfen, ob diese Lösung einen Minimalwert ergibt, berechnen wir die 2. Ableitung und prüfen, ob sie tatsächlich positiv ist,

Auf diese Weise muss der Diamant in zwei gleiche Teile von je 1 g geteilt werden.
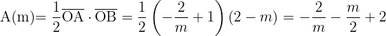
Finde unter allen Geraden, die entlang des Punkts
verlaufen, diejenige, die mit den positiven Teilen der Koordinatenachsen ein Dreieck mit minimalem Flächeninhalt bildet.
Aus der Punkt-Steigungsform der Geraden erhalten wir, dass die Gleichung der Geraden, die durch den Punkt
verläuft, wie folgt lautet:

Da die Eckpunkte auf den positiven Teilen der Koordinatenachsen liegen sollen, benötigen wir den Wert, den
annimmt, wenn
und den Wert, den
annimmt, wenn
.

Somit sind
und
Scheitelpunkte des Dreiecks. 

In diesem Fall ist 
Wir berechnen die Ableitung und setzen sie gleich 0, um die kritischen Werte zu ermitteln:

Wir stellen fest, dass mit
kein Dreieck gebildet würde, weil die Koordinaten von A und B mit dem Koordinatenursprung zusammenfallen, also nehmen wir 
Wir berechnen die 2. Ableitung und setzen ein:

Somit ist die Gerade die Gerade, die die Steigung
hat

Eine Boje, die aus zwei geraden, an der Basis verbundenen Eisenkegeln besteht, soll mithilfe von zwei kreisförmigen Platten mit einem Radius von
gebaut werden. Berechne die Maße der Boje, sodass ihr Volumen maximal ist. 
Die Formel für das Volumen eines Kegels ist 
In diesem Fall würde die zu optimierende Funktion laut Abbildung wie folgt lauten: 
Wir setzen die Variablen in Beziehung: 
Wir setzen in die Funktion ein: 
Wir leiten ab, setzen gleich 0 und berechnen die Nullstellen.

Wir ermitteln die 2. Ableitung, um das Ergebnis zu überprüfen

Ermittle das gleichschenklige Dreieck mit der größten Fläche, das in einen Kreis mit dem Radius 12 cm eingeschrieben ist.

Die Fläche der Dreiecke ist durch
gegeben.
Die Abbildung zeigt ein rechtwinkliges Dreieck, das mit dem Radius des Kreises, einer Seite des Dreiecks und seiner Höhe gebildet wird. Wir wenden den Satz des Pythagoras an und erhalten 
Wir setzen in
ein und erhalten 
Nun leiten wir ab
Wir setzen gleich 0 und erhalten 
Mit diesen Werten können wir das Folgende über die Werte des Dreiecks sagen:
Grundseite:
,
Seite:
Um zu prüfen, ob diese Werte ein Maximum für die Fläche ergeben, müssen wir die 2. Ableitung für
auswerten und erhalten einen negativen Wert:



Ein gleichschenkliges Dreieck mit dem Umfang
dreht sich um seine Höhe und bildet einen Kegel. Welchen Wert muss die Grundseite haben, damit das Volumen des Kegels maximal ist?

Die zu optimierende Funktion wird durch das Volumen des Kegels definiert, der durch die Drehung des Dreiecks gebildet wird, 
Da der Umfang
beträgt und das Dreieck sich um seine Höhe dreht, erhalten wir aus der Figur Folgendes: 

Wenn wir diese Gleichungen kombinieren, erhalten wir 
Da wir nun alle Variablen in Form von
haben, können wir in die Volumenfunktion einsetzen,
Nun leiten wir ab: 
Wir setzen gleich 0 und erhalten die folgenden Werte für 

und für die Grundseite des Dreiecks; Grundseite:
,
Um zu überprüfen, ob wir bei
ein Maximum erhalten, müssen wir die 2. Ableitung von
zu diesem Wert berechnen und erhalten einen negativen Wert:



Es soll eine zylindrische Blechdose (mit Deckel) mit einem Fassungsvermögen von 1 Liter hergestellt werden. Welche Abmessungen sollte sie haben, damit möglichst wenig Metall verwendet wird?
Die Aufgabe besteht darin, die Funktion zu minimieren, die die Fläche der zylindrischen Dose definiert. Diese ist gegeben durch 
Da die Dose 1 Liter fassen muss, ist ihr Volumen gleich
, das heißt, 
Wir bestimmen
und erhalten 
Wir leiten die Funktion ab: 

Um die Extremwerte zu finden, setzen wir die obige Gleichung gleich 0 und ermitteln den Wert von 

Wir erhalten den Wert von
mithilfe des Werts von
,
Durch Überprüfung mit der 2. Ableitung ergibt sich, dass 
Daher sind die Abmessungen der Dose minimal mit
.
Zerlege die Zahl 44 in zwei Summanden, sodass das Fünffache des Quadrats der ersten Zahl plus das Sechsfache des Quadrats der zweiten Zahl ein Minimum ergibt.
Wir wollen die Zahl
in zwei Summanden zerlegen, also
,
und wir möchten, dass das Fünffache des Quadrats des ersten plus das Sechsfache des Quadrats des zweiten ein Minimum ist, sodass 
Da
,
setzen wir "
"
ein
Wir leiten ab und setzen gleich 0:

Wir berechnen die 2. Ableitung 
Daher sind das Minimum und die Zahlen 
Man hat einen 1 m langen Draht und möchte ihn in zwei Teile teilen, um mit einem einen Kreis und mit dem anderen ein Quadrat zu bilden. Bestimme die Länge der einzelnen Teile, sodass die Summe der Flächen des Kreises und des Quadrats minimal ist.
Wenn das Quadrat die Seitenlänge
und der Kreis den Radius
hat, dann lautet die zu optimierende Funktion: 
Da der Draht eine Länge von
hat, ergibt die Summe der Umfänge des Kreises und des Quadrats die Gleichung für die Variablen, 
Wir setzen in
ein und erhalten 
Nun leiten wir die Funktion
ab und setzen sie gleich 0, um die Extremwerte zu berechnen, 

Mit diesem Wert für
gilt: Stück des Kreises:
Stück des Quadrats:

Wie immer bei dieser Art von Problemen besteht der letzte Teil der Minimierung darin, die 2. Ableitung zu finden und zu prüfen, ob sie für die gefundenen Werte positiv ist.

Ermittle die Maße des größten Rechtecks, das in ein gleichschenkliges Dreieck mit der Grundseite
und der Höhe
eingeschrieben ist.

Die zu optimierende Funktion ist
Wir setzen die Variablen in Beziehung: Da wir zwei ähnliche Dreiecke haben, erhalten wir 
Wir setzen in die Funktion ein: 
Wir leiten ab, setzen gleich 0 und berechnen die Nullstellen
Wir setzen gleich 0 und berechnen die Nullstellen 
Die Grundseite ist also
. Wir führen die 2. Ableitung durch, um das Ergebnis zu überprüfen 
Für
und
existiert somit ein relatives Maximum.
Aus einem Stück Karton mit den Maßen
schneidet man aus jeder Ecke ein Quadrat mit der Seite
aus und faltet es (siehe Abbildung), sodass eine Schachtel entsteht. Berechne
so, dass das Volumen dieser Schachtel maximal ist.

Zunächst müssen wir die zu optimierende Funktion finden. Diese Funktion wird durch das Volumen der Schachtel definiert, die als Seiten
,
und als Höhe
hat, so dass unsere Funktion wie folgt lautet: 
Beachte, dass bei diesem Problem nur eine Variable betroffen ist, so dass wir direkt zur Ermittlung der lokalen Extrema übergehen können. Wir denken daran, dass wir dazu unsere Funktion ableiten und die resultierende Gleichung gleich 0 setzen müssen. 

Diese Gleichung lässt sich mit der allgemeinen Formel lösen: 
Daraus erhalten wir die beiden folgenden Lösungen: 
Wir stellen fest, dass die Lösung
nicht gültig ist, da die Seite
negativ wäre. Unser einziges lokales Extremum ist also
. Wir berechnen die 2. Ableitung der Funktion
und werten für
aus. Wir erhalten
haben.
Ein Blatt Papier muss
bedruckten Text, einen oberen und unteren Rand von
Höhe und seitliche Ränder von
Breite aufweisen. Ermittle die Maße, die die Papierfläche minimieren.

Die zu minimierende Funktion ist durch die Fläche der Papieroberfläche gegeben, nämlich 
Aus den Bedingungen des Problems müssen wir Gleichungen ableiten, die die Variablen in Beziehung setzen. Da wir
an gedrucktem Text haben müssen, können wir sagen, dass 
Wenn wir nach
auflösen, erhalten wir
Wir setzen in die Funktion
ein und erhalten 
Wir können nun die Funktion ableiten, um die lokalen Extrema zu ermitteln: 
Wir setzen die Ableitung gleich 0: 
Dies bedeutet, dass wir die Gleichung
lösen müssen. Wir stellen fest, dass 
Somit sind unsere Lösungen
und
. Die Lösung
müssen wir verwerfen, da sie negativ ist. Wir haben also eine einzige Lösung für unser Problem.
Da wir die 2. Ableitung nicht zu berechnen brauchen, können wir daraus schließen, dass
und
die Papierfläche minimieren.
Der monatliche Nettogewinn eines Unternehmens, das Busse herstellt, in Millionen Euro, wird durch folgende Funktion angegeben:
, wobei
die Anzahl der produzierten Busse pro Monat ist. Berechne die monatliche Produktion, die den Gewinn maximiert.
Wir leiten die monatliche Gewinnfunktion ab und setzen sie gleich 0

Wir berechnen die 2. Ableitung und setzen ein: 
Also maximal.
Eine Obstplantage besteht derzeit aus 25 Bäumen, die jeweils 600 Früchte tragen. Es wird geschätzt, dass für jeden zusätzlich gepflanzten Baum die Produktion jedes Baumes um 15 Früchte abnimmt. Berechne:
1 Aktuellen Ertrag der Plantage.
2 Den Ertrag, der von jedem Baum erzielt werden würde, wenn x weitere Bäume gepflanzt würden.
3 Der Ertrag, den die gesamte Obstanlage liefern würde, wenn x weitere Bäume gepflanzt würden.
4 Wie hoch sollte die Gesamtzahl der Bäume in der Obstplantage sein, um einen maximalen Ertrag zu erzielen?
1 Aktueller Ertrag der Plantage:Aktueller Ertrag: 
2 Der Ertrag, der sich aus jedem Baum ergibt, wenn
mehr Bäume gepflanzt werden: Wenn
mehr Bäume gepflanzt werden, beträgt der Ertrag jedes Baumes: 
3 Der Ertrag der gesamten Obstanlage, wenn
mehr Bäume gepflanzt werden: 
4 Wie hoch sollte die Gesamtzahl der Bäume in der Obstplantage sein, um einen maximalen Ertrag zu erzielen? Wir leiten ab und setzen gleich 0:
Da die 2. Ableitung negativ ist, gilt:
Der maximale Ertrag würde also mit
erreicht werden. Der Ertrag wäre maximal, wenn:

Ein Kreissektor hat einen Umfang von
. Berechne den Radius und die Weite des Sektors mit der größten Fläche. 
Unsere zu optimierende Funktion ist diejenige, die durch die Fläche des Kreissektors definiert ist, wie in der Abbildung zu sehen: 
Da der Umfang
ist, gilt 
Wenn wir in die Funktion
einsetzen, haben wir 
Nun leiten wir die Funktion
ab und setzen sie gleich 0, um einen Extremwert zu erhalten: 

Nachdem wir einen Wert für de obtener un valor para
erhalten haben, können wir Werte für
und
bestimmen: 
In diesem Fall ist die 2. Ableitung von
konstant und negativ:
ergeben.
Mit KI zusammenfassen:
