Stelle die folgenden Funktionen dar und untersuche die folgenden Punkte
- Definitionsbereich
- Symmetrie
- Schnittpunkte mit den Achsen
- Asymptoten
- Monotonieverhalten
- Maxima und Minima
- Konkavität und Konvexität
- Wendepunkte

Definitionsbereich: Wir denken daran, dass wir je nach Art der Funktion den Definitionsbereich bestimmen können. In diesem Fall ist este caso
eine Polynomfunktion und ihr Definitionsbereich sind somit alle reellen Zahlen: 
Symmetrie: Um die Symmetrie zu überprüfen, untersuchen wir zunächst die Funktion für
aus und erhalten 3 mögliche Fälle:
1 Eine gerade Funktion, wenn
,
2 Eine ungerade Funktion, wenn
,
3 oder nicht anwendbar, wenn wir nicht zur Ausgangsfunktion zurückkehren. In diesem Fall
Daher haben wir eine Symmetrie zum Ursprung, d.h. eine ungerade Funktion
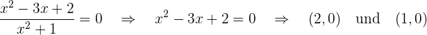
Schnittpunkte mit den Achsen
Schnittpunkt mit der
-Achse:
Wir haben einen Schnittpunkt mit dieser Achse, wenn
. Wir beginnen also, indem wir gleich 0 setzen

Daher erhalten wir 0, wenn

Daraus folgt, dass die Schnittpunkte mit der
-Achse wie folgt sind:

Schnittpunkt mit der
-Achse:
Wir haben Schnittpunkte mit dieser Achse, wenn
. Somit:
.
Deshalb ist der Schnittpunkt mit der
-Achse:

Asymptoten
Um die Asymptoten zu finden, müsste man einen Punkt
finden, sodass
.
In diesem Fall haben wir eine Polynomfunktion, die keine Asymptoten hat.
Monotonieverhalten
Um zu wissen ob eine Funktion an einem Punkt steigt oder fällt, müssen wir die kritischen Punkte ermitteln. Also die Stellen, an denen die Ableitung 0 wird. Wir berechnen die Ableitung 

Wir berechnen die kritischen Punkte

Nun überprüfen wir, welches Vorzeichen die Funktion hat, wenn wir den Definitionsbereich wie folgt unterteilen:
und
:

Die Funktion steigt also im Intervall
und fällt im Intervall 
Um die Minima und Maxima zu bestimmen, untersuchen wir die vorher mit der 2. Ableitung ermittelten kritischen Punkte. Wenn sie positiv ist, haben wir ein Minimum und wenn sie negativ, ist, haben wir ein Maximum.



Wir haben also ein Minimum bei
und ein Maximum bei 
Konkavität und Konvexität
Um zu ermitteln, ob die Funktion konkav und kovex ist, nehmen wir die 2. Ableitung und überprüfen, wann sie 0 wird. Wir prüfen die Intervalle, in denen die Funktion positiv und negativ ist; ist sie positiv, ist sie konvex, ist sie negativ, ist sie konkav.

und in den Intervallen

Die Funktion ist somit konvex im Intervall
und konkav im Intervall 
Wendepunkte
Es gibt einen Wendepunkte, wenn an einem Punkt
Folgendes gilt:



Wir untersuchen nun den einzigen Punkt, an dem die 2. Ableitung 0 wird

Wenn das Ergebnis ungleich 0 ist, haben wir einen Wendepunkt bei
.
Grafische Darstellung


Definitionsbereich:
Symmetrie: Wir stellen fest, dass
. Es liegt also Symmetrie zur
-Achse vor, das heißt, die Funktion ist gerade.
Schnittpunkte mit den AchsenSchnittpunkte mit der
-Achse:

Die Schnittpunkte sind also

Schnittpunkte mit der
-Achse:
Wir stellen fest, dass

Der Schnittpunkt ist also

Asymptoten
Sie hat keine Asymptoten.
Monotonieverhalten
Wir berechnen die kritischen Punkte:

wir setzen gleich 0

Nun überprüfen wir das Vorzeichen in den folgenden Segmenten des Definitionsbereichs:




Sie steigt also im Intervall
und fällt im Intervall 
Wir untersuchen die kritischen Punkte, die wir mit der 2. Ableitung
berechnen und erhalten
Die Tiefpunkte sind

Der Hochpunkt ist

Konkavität und Konvexität
Wir suchen die Punkte, an denen die zweite Ableitung 0 wird

Wir stellen fest, dass


Sie ist also konvex im Intervall
und konkav im Intervall 
Wendepunkte
Durch Berechnung der 3. Ableitung ergibt sich, dass die Wendepunkte wie folgt lauten

Grafische Darstellung


Definitionsbereich
Wir eliminieren den Punkt, an dem der Nenner 0 wird 
Somit: 
Symmetrie: Da
, liegt keine Symmetrie vor.
Schnittpunkte mit den AchsenSchnittpunkte mit der
-Achse

Der Schnittpunkt ist somit 
Schnittpunkt mit der
-Achse
Wir haben

Der Schnittpunkt ist also

Asymptoten
Horizontale Asymptote:
Horizontale Asymptoten sind horizontale Geraden, denen sich die Funktion endlos nähert. Horizontale Asymptoten sind Geraden der Gleichung:
.

Wir stellen fest, dass

Sie hat also keine horizontalen Asymptoten.
Vertikale Asymptoten:
Vertikale Asymptoten sind vertikale Geraden, denen sich die Funktion endlos nähert, ohne sie jemals zu schneiden. Vertikale Asymptoten sind Geraden der Gleichung:
.

Wir stellen fest, dass

und somit

Schiefe Asymptote:
Schiefe Asymptoten sind Geraden der Gleichung:
,
wobei

Schiefe Asymptoten werden nur dann gefunden, wenn es keine horizontalen Asymptoten gibt.
In diesem Fall:


Somit hat die schiefe Asymptote die Gleichung:

Monotonieverhalten
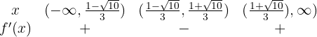
Zunächst ermitteln wir die kritischen Punkte

Wir setzen gleich 0

Die kritischen Punkte sind

Nun überprüfen wir das Vorzeichen in den folgenden Segmenten des Definitionsbereichs:



somit


Wir untersuchen die kritischen Punkte, die wir mit der 2. Ableitung ermitteln, und erhalten

Konkavität und Konvexität
Wir berechnen die 2. Ableitung und ermitteln, wann sie 0 wird

Wir untersuchen in engen Intervallen



Sie ist also konvex im Intervall
und konkav im Intervall 
Wendepunkte

Grafische Darstellung


Definitionsbereich
Wir eliminieren den Punkt, an dem der Nenner 0 wird 
Symmetrie: Wir stellen fest, dass
. Somit liegt Symmetrie zur
-Achse vor. Die Funktion ist also gerade.
Schnittpunkte mit den AchsenSchnittpunkte mit der
-Achse:
Wir setzen gleich 0 und erhalten

Es gibt also keine Schnittpunkte mit der
-Achse
Schnittpunkt mit der
-Achse:
Ähnlich

Somit gibt es keine Schnittpunkte mit der
-Achse
Asymptoten
Horizontale Asymptote:

Das heißt, es gibt keine horizontale Asymptote
Vertikale Asymptote:

Schiefe Asymptote:

Es gibt also keine.
Monotonieverhalten
Wir stellen fest, dass

und somit




Die Funktion steigt also im Intervall
und fällt im Intervall 
Außerdem sind die Tiefpunkte gegeben durch
und 
Konkavität und Konvexität
Wir stellen fest, dass

und somit


Daraus folgern wir, dass die Funktion konkav ist im Intervall 
Wendepunkte
Es gibt keinen Wendepunkt.
Grafische Darstellung


Definitionsbereich: Wir eliminieren den Punkt, an dem der Nenner 0 wird 
Symmetrie:
. Es liegt keine Symmetrie vor.
Schnittpunkte mit den AchsenSchnittpunkt mit der
-Achse:

Schnittpunkt mit der
-Achse:

Asymptoten
Horizontale Asymptote:
Wir stellen fest, dass
Somit gibt es keine horizontale Asymptote.
Vertikale Asymptote:

Schiefe Asymptote:


und somit

Monotonieverhalten
Wir ermitteln die kritischen Punkte

Wir untersuchen die Intervalle

Das heißt, sie steigt im Intervall
und fällt im Intervall
.
Wir untersuchen die kritischen Punkte, die wir mit der 2. Ableitung ermitteln, um die Minima und Maxima zu bestimmen.
ist ein Minimum und
ein Maximum.
Konkavität und Konvexität

Da wir keine Lösung haben, unterteilen wir die Intervalle des Definitionsbereichs ausgehend von der 2, die nicht zum Definitionsbereich gehört.
Wir erhalten

Sie ist im Intervall
konvex und im Intervall
konkav.
Wendepunkte:
Es gibt keinen Wendepunkt.
Grafische Darstellung


Definitionsbereich:
Symmetrie:
Wir haben Symmetrie zum Ursprung, d.h. es ist eine ungerade Funktion.
Schnittpunkte mit den AchsenSchnittpunkt mit der
-Achse:

Der Schnittpunkt mit der Achse ist somit 
Schnittpunkt mit der
-Achse:
Wir haben

Somit ist der Schnittpunkt

Asymptoten
Horizontale Asymptote:

Sie hat weder vertikale noch schiefe Asymptoten.
Monotonieverahalten
Wir bestimmen die kritischen Punkte

Nun überprüfen wir, welches Vorzeichen die Funktion hat, wenn wir den Definitionsbereich wie folgt unterteilen:

Daraus folgt, dass die Funktion im Intervall
steigt und im Intervall
fällt.
Wir untersuchen die kritischen Punkte der 2. Ableitung und erhalten


Konkavität und Konvexität
Wir berechnen die Punkte, an denen die 2. Ableitung 0 wird

Wir überprüfen das Vorzeichen in den Intervallen

Die Funktion ist somit konvex im Intervall
und konkav im Intervall
.
Wendepunkte

Grafische Darstellung


Definitionsbereich: 
Symmetrie:
. Es liegt keine Symmetrie vor.
Schnittpunkte mit den AchsenSchnittpunkte mit der
-Achse:

Schnittpunkt mit der
-Achse:

Asymptoten
Horizontale Asymptote

Sie hat weder vertikale noch schiefe Asymptoten.
Monotonieverhalten

und somit

Nun überprüfen wir, welches Vorzeichen die Funktion hat, wenn wir den Definitionsbereich wie folgt unterteilen:

Sie steigt im Intervall
und fällt im Intervall 
Wir untersuchen die kritischen Punkte der 2. Ableitung und erhalten


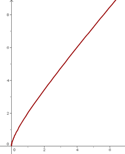
Wir stellen mit den erhaltenen Werten grafisch dar:


Definitionsbereich: Da wir die Wurzel aus "
" berechnen müssen, gilt 
Symmetrie: 
Es liegt keine Symmetrie vor.
Schnittpunkte mit den AchsenSchnittpunkte mit der
-Achse:

Der Schnittpunkt ist also

Schnittpunkt mit der
-Achse:

Der Schnittpunkt ist also

Asymptoten
Es gibt keine Asymptoten.
Monotonieverhalten

Die kritischen Punkte lauten also

Da es keine Lösung gibt, sehen wir uns nur das Intervall des Definitionsbereichs an

Die Funktion steigt.
Maxima und Minima
Es gibt keine lokalen Extremstellen.
Konkavität und Konvexität
Wir berechnen die 2. Ableitung und setzen gleich 0

Da es keine Lösung gibt, nehmen wir das Intervall des Definitionsbereichs und erhalten

Die Funktion ist konkav.
Wendepunkte
Es gibt keinen Wendepunkt.
Grafische Darstellung


Definitionsbereich: 
Symmetrie:
. Es liegt keine Symmetrie vor.
Schnittpunkte mit den AchsenSchnittpunkt mit der
-Achse:

Schnittpunkt mit der
-Achse:

Asymptoten
Horizontale Asymptote:

Es gibt weder vertikale noch schiefe Asymptoten.
Monotonieverhalten

Wir untersuchen das Vorzeichen

Daraus folgt, dass die Funktion bei
steigt und bei
fällt.
Wir untersuchen die kritischen Punkte der 2. Ableitung und erhalten

Konkavität und Konvexität
Wir berechnen die 2. Ableitung und bestimmen die Punkte, für die sie 0 wird

Wir unterteilen den Definitionsbereich in
und untersuchen das Vorzeichen der 2. Ableitung in diesen Intervallen

Die Funktion ist also konvex im Intervall
und konkav im Intervall
.
Wendepunkte

Grafische Darstellung


Definitionsbereich: 
Symmetrie:
. Es liegt keine Symmetrie vor.
Schnittpunkte mit den AchsenSchnittpunkte mit der
-Achse:

Das heißt,
und der Schnittpunkt wäre

Schnittpunkt mit der
-Achse:

Es gibt keinen Schnittpunkt mit der
-Achse
Asymptoten
Horizontale Asymptote:

Vertikale Asymptoten:

Monotonieverhalten
Wir berechnen die kritischen Punkte

und erhalten den kritischen Punkt
. Somit

Die Funktion steigt bei
und fällt bei
. Ein Maximum ist bei
.
Konkavität und Konvexität
Wir setzen die 2. Ableitung gleich 0


Wir unterteilen den Definitionsbereich und untersuchen das Vorzeichen der 2. Ableitung. Daraus folgt, dass die Funktion bei
konvex ist und bei
konkav ist.
Grafische Darstellung

Mit KI zusammenfassen:
