Unter der Annahme, dass die Börse jeden Tag eines Monats mit
Tagen arbeitet, entspricht die Notierung der Sitzungen eines bestimmten Unternehmens dem folgenden Gesetz:

1 Ermittle die Höchst- und Mindestbeiträge sowie die Tage, an denen sie angefallen sind, an anderen Tagen als dem ersten und letzten.
2 Bestimme die Zeiträume, in denen die Aktien gestiegen oder gefallen sind.
1 Ermittle die Höchst- und Mindestbeträge sowie die Tage, an denen sie angefallen sind, an anderen Tagen als dem ersten und letzten.
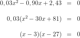
Wir leiten ab

Wir setzen die Ableitung gleich 0 und ermitteln die Nullstellen der Gleichung

Die Nullstellen sind
und 
Wir berechnen die 2. Ableitung

Wir berechnen das Vorzeichen der Nullstellen der 1. Ableitung

2 Bestimme die Zeiträume, in denen die Aktien gestiegen oder gefallen sind.
Wir bilden Intervalle mit den Nullstellen der 1. Ableitung

Wir nehmen einen Wert aus jedem Intervall und finden das Vorzeichen, das er in der 1. Ableitung hat:
Ist das Ergebnis positiv, so ist die Funktion auf diesem Intervall steigend.
Ist das Ergebnis negativ, ist die Funktion auf diesem Intervall fallend.

Von
bis
und von
bis
steigen die Aktien. Sie fallen von
bis
.
Angenommen, die Leistung
eines Schülers in
in einer 1-stündigen Prüfung ist gegeben durch:
.
Wobei
die Zeit in Stunden ist. Berechne:
1 Wann nimmt die Leistung zu oder ab?
2 Wann ist die Leistung 0?
3 Wann wird die höchste Leistung erzielt und wie lautet diese?
1 Wann nimmt die Leistung zu oder ab?
Wir leiten ab

Wir setzen die Ableitung gleich 0 und ermitteln die Nullstellen der Gleichung

Die Nullstelle ist 
Wir bilden Intervalle mit den Nullstellen der 1. Ableitung

Wir nehmen einen Wert aus jedem Intervall und ermitteln das Vorzeichen, das er in der 1. Ableitung hat:
Ist das Ergebnis positiv, so ist die Funktion auf diesem Intervall steigend.
Ist das Ergebnis negativ, ist die Funktion auf diesem Intervall fallend.

Somit steigt die Funktion bei
und fällt bei
.
2 Wann ist die Leistung 0?
Die Leistung ist 0, wenn
.
.
Die Nullstellen sind
und
.
Somit ist die Leistung am Anfang und am Ende der Prüfung 0.
3 Wann wird die höchste Leistung erzielt und wie lautet diese?
Wir berechnen die 2. Ableitung

Die 2. Ableitung ist immer negativ, weshalb
und es ein Maximum gibt
Wir berechnen die 2. Koordinate des Maximums

Die höchste Leistung wird also in der Mitte der Prüfung erzielt und beträgt
.
Berechne die Gleichung der Tangente an den Graphen von
an seinem Wendepunkt.
1 Wir berechnen die Ableitung

2 Wir berechnen die 2. Ableitung

3 Wir setzen die 2. Ableitung gleich 0, um den Wendepunkt zu erhalten.

daraus erhalten wir 
Wir berechnen die 3. Ableitung werten für
aus



Somit hat die Funktion einen Wendepunkt bei
.
4 Wir berechnen die Tangente am Wendepunkt, für die wir die Steigung benötigen

Wir wenden die Punkt-Steigungsform an und erhalten

Die Tangente, die durch den Wendepunkt verläuft lautet 
Bestimme
und
so, dass die Funktion
für
ein Maximum und für
ein Minimum hat sowie den Wert
für
annimmt.
1 Wir berechnen die Ableitung

2 Da die Funktion ein Maximum bei
und ein Minimum bei
hat, ist die Ableitung an diesen Punkten 0. Wir setzen ein und erhalten zwei Gleichungen


Wir setzen den Wert von
in die 1. Gleichung ein und erhalten 
3 Da die Funktion den Wert
für
annimmt

Daraus erhalten wir
. Somit lautet die Funktion

4 Wir berechnen die 2. Ableitung und werten die kritischen Punkte aus

, somit hat sie ein Maximum
ist somit ein Minimum
Bestimme den Wert für
und
so, dass die Funktion
ein Maximum bei
und ein Minimum bei
hat.
1 Wir berechnen die Ableitung

2 Da die Funktion bei
ein Maximum und bei
ein Minimum hat, ist die Ableitung an diesen Punkten 0. Wir setzen ein und erhalten zwei Gleichungen


3 Da
und
, erhalten wir die Gleichungen


4 Wir lösen das System 
Wir erhalten
und
.
Somit lautet die Funktion

5 Wir berechnen die 2. Ableitung und werten die kritischen Punkte aus

, sie hat somit ein Maximum
, sie hat somit ein Minimum
Bestimme den Wert von
und
so, dass der Graph
einen kritischen Punkt bei
sowie einen Wendepunkt mit der Tangente der Gleichung
bei
hat.
1 Wir berechnen die Ableitung

2 Da die Funktion einen kritischen Punkt bei
hat, ist die Ableitung an diesem Punkt 0. Wir setzen ein und erhalten die Gleichung

3 Da
und
, erhalten wir die Gleichungen


4 Wir berechnen die 2. Ableitung und werten für den Wenkepunkt aus

5 Die Ableitung bei 0 fällt mit der Steigung der Tangente bei
zusammen.

6 Wir lösen das System 
Wir erhalten
und
. Schließlich lautet die Funktion

Der Graph
schneidet die x-Achse bei
und hat einen Wendepunkt bei
. Berechne
und
.
1 Wir berechnen die 2. Ableitung und werten den Wendepunkt aus



2 Wir werten die Funktion am Wendepunkt aus und erhalten

3 Da
, erhalten wir die Gleichung

4 Wir lösen das System 
Wir erhalten
und
. Schließlich lautet die Funktion

Gegeben ist die Funktion:

Berechne
und
so, dass
bei
ein lokales Extremum hat und der Graph durch den Koordinatenursprung verläuft.
1 Wir berechnen die Ableitung

2 Die Ableitung ist 0 bei 

Allerdings kann nicht erfüllt werden, dass
, da die Funktion
wäre und somit nicht durch den Ursprung verlaufen würde
3 Da
und
, erhalten wir die Gleichungen


Schließlich lautet die Funktion

Berechne
und
, so dass die Funktion:
Extrema an den Punkten
und
hat. Für diese Werte von
und
, welche Art von Extrema hat die Funktion bei
und
?
1 Wir berechnen die Ableitung und werten für
und
aus. An diesen Punkten ist die Ableitung 0, da es sich um Extrema handelt



4 Wir lösen das System 
Wir erhalten
und
. Schließlich lautet die Funktion

5 Wir berechnen die 2. Ableitung und werten für
und
aus

, es gibt also ein Minimum bei 
, es gibt also ein Maximum bei 
Bestimme die Gleichungen der Tangente und der Normalen an ihrem Wendepunkt zum Graphen:
.
1 Wir berechnen die Ableitung

2 Wir berechnen die 2. Ableitung

3 Wir setzen die 2. Ableitung gleich 0, um den Wendepunkt zu erhalten

Daraus erhalten wir 
Wir berechnen die 3. Ableitung und werten für
aus



Die Funktion hat also einen Wendepunkt bei
.
4 Wir berechnen die Tangente am Wendepunkt, für die wir die Steigung benötigen

Wir wenden die Punkt-Steigungsform an und erhalten

Die Tangente durch den Wendepunkt ist 
Wir wenden die Punkt-Steigungsform für die Steigung
der Normalen an und erhalten

Die Normale durch den Wendepunkt ist 
Der Betrag
, der sich im Laufe eines Tages in einem Spielautomaten angesammelt hat, ist ein Satz der Form:

wobei die Variable
die Zeit in Stunden (von 0 bis 24) angibt. Beantworte folgende Fragen:
1 Geht dem Automaten jemals das Geld aus?
2 Wenn die „Kasse“ nach 24 Stunden erfolgt, führt dies zu einem Gewinn für die Automatenbesitzer?
3 Zu welchem Zeitpunkt ist die Einnahme am höchsten und zu welchem Zeitpunkt am niedrigsten?
4 Wann wird der höchste Preis ausbezahlt?
1 Zwischen 0 und 24 ist die Funktion ungleich 0, so dass der Automat immer Münzen hat.
Es gibt ein absolutes Minimum bei
.
2 Wenn die „Kasse“ nach 24 Stunden erfolgt, führt dies zu einem Gewinn für die Automatenbesitzer?
Gewinn: 
3 Zu welchem Zeitpunkt ist die Einnahme am höchsten und zu welchem Zeitpunkt am niedrigsten?
Wir berechnen die Ableitung

Wir setzen die Ableitung gleich 0

wir erhalten
und 
4 Wir berechnen die 2. Ableitung und werten für
und
aus

ist ein Maximum
ist ein Minimum
So ist der gesammelte Betrag um 16:00 Uhr am höchsten und um 22:00 Uhr am niedrigsten
5 Wann wird der höchste Preis ausbezahlt?
Der höchste Preis entspricht dem Wendepunkt.


Der höchste Betrag wird also um 19:00 Uhr ausbezahlt
Gegeben ist
. Bestimme
und
so, dass der Graph der Funktion
für
einen Wendepunkt hat und die Tangente an diesem Punkt einen Winkel von
mit der x-Achse bildet.
1 Wir berechnen die 1. und 2. Ableitung


2 Da die Funktion einen Wendepunkt bei
hat, ist die Ableitung an diesem Punkt 0. Durch Einsetzen erhalten wir

3 Da die Tangente bei
einen Winkel von
bildet und ihre Steigung gleich dem Tangens dieses Winkels ist, gilt

Die Funktion lautet

Mit KI zusammenfassen:
