Aufgaben zum Satz von Rolle
Untersuche, ob der Satz von Rolle auf dem Intervall
der folgenden Funktion gilt:

1 Zunächst überprüfen wir, ob die Funktion bei
stetig ist. Hierfür berechnen wir die seitlichen Grenzwerte

Da die seitlichen Grenzwerte gleich sind, gilt
.
Wir berechnen
. Da der Grenzwert bei
mit seiner Auswertung übereinstimmt, ist die Funktion bei
stetig.
2 Anschließend überprüfen wir, ob die Funktion in
ableitbar ist. Dazu leiten wir die Funktion ab

Da
, schließen wir daraus, dass sie bei
nicht ableitbar ist. Sie ist dann auf dem Intervall
nicht ableitbar und der Satz von Rolle ist nicht erfüllt.
Aufgaben zum Satz von Rolle
Kann der Satz von Rolle auf die Funktion
auf dem Intervall
angewendet werden?
1 Als Erstes berechnen wir die Definitionsmenge der Funktion

2 Die Funktion ist auf dem Intervall
stetig und bei
ableitbar, da die Intervalle in
enthalten sind.
Außerdem gilt
, weshalb der Satz von Rolle anwendbar ist.
Aufgaben zum Satz von Rolle
Überprüfe, ob die Gleichung
eine einzige reelle Lösung hat.
1 Da es sich um ein Polynom handelt, ist die Funktion stetig und ableitbar im gesamten Bereich 
2 Wir überprüfen den Satz von Bolzano auf dem Intervall
. Hierzu werten wir das Intervall an den Extremwerten aus
und
, Daher gilt der Satz von Bolzano und es gibt eine Nullstelle auf dem Intervall
.
3 Wir überprüfen den Satz von Rolle und leiten dazu die Funktion
ab
Da die Ableitung bei keinem Wert null ist (sie ist immer positiv), widerspricht sie dem Satz von Rolle, sodass sie nur eine reelle Nullstelle hat.
Aufgaben zum Satz von Lagrange
Kann der Satz von Lagrange auf
auf dem Intervall
angewendet werden?
1 Wir überprüfen, ob die Funktion auf dem Intervall
stetig ist, was der Fall ist, da es sich um eine Polynomfunktion handelt.
2 Wir überprüfen, ob die Funktion auf dem Intervall
ableitbar ist, was der Fall ist, da
eine Polynomfunktion ist
3 Die Annahmen des Satzes von Lagrange sind erfüllt, weshalb es
gibt, sodass

Wir erhalten die Werte
. Wir nehmen
, da
, und stellen fest, dass
.
Aufgaben zum Satz von Cauchy
Überprüfe ob die Annahmen des Satzes von Cauchy für die Funktionen
und
auf dem Intervall
erfüllt sind.
1 Die Funktionen
und
sind auf dem Intervall
stetig und bei
ableitbar, da es sich um Polynomfunktionen handelt.
2 Es gilt, dass
, weshalb der Satz von Cauchy zutrifft
3 Wir berechnen die Ableitungen der Funktionen


4 Wir setzen in die Formel des Satzes von Cauchy ein

Die Nullstellen sind 
5 Wir nehmen
, da 
Da
, lautet der gesuchte Wert 
Aufgaben zur Regel von von de L’Hospital
Löse die folgenden Grenzwerte:

1 Wir werten für
aus und erhalten den unbestimmten Ausdruck

2 Wir leiten den Zähler und den Nenner ab


3 Wir wenden die Regel von de L’Hospital an

4 Wir lösen den erhaltenen Grenzwert

Aufgaben zur Regel von de L’Hospital

1 Für
erhalten wir den unbestimmten Ausdruck 
2 Wir leiten den Zähler und den Nenner ab


3 Wir wenden die Regel von de L’Hospital an

4 Wir wenden erneut die Regel von de L’Hospital auf das Element des Nenners an

5 Wir wenden erneut die Regel von de L’Hospital an

6 Somit lautet der Grenzwert

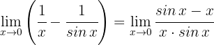
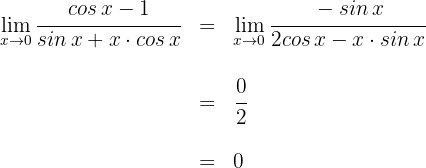
Aufgaben zur Regel von de L’Hospital

1 Für
erhalten wir den unbestimmten Ausdruck 
2 Wir addieren die Brüche

Für
erhalten wir den unbestimmten Ausdruck 
3 Wir berechnen die Ableitungen


4 Wir wenden die Regel von de L’Hospital an

Für
erhalten wir den unbestimmten Ausdruck 
5 Wir wenden erneut die Regel von de L’Hospital an

Aufgaben zur Regel von de L’Hospital

1 Für
erhalten wir den unbestimmten Ausdruck 
2 Wir berechnen die Ableitungen


3 Wir wenden die Regel von de L’Hospital an

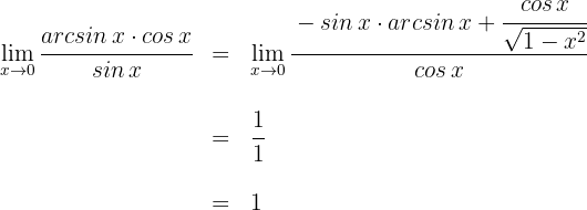
Aufgaben zur Regel von de L’Hospital

1 Für
erhalten wir den unbestimmten Ausdruck 
2 Wir berechnen die Ableitungen


3 Wir wenden die Regel von de L’Hospital an

Aufgaben zur Regel von de L’Hospital

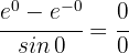
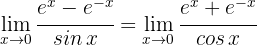
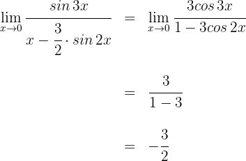
1 Für
erhalten wir den unbestimmten Ausdruck 
2 Wir schreiben
in Sinus- und Kosinusausdrücken

Für
erhalten wir den unbestimmten Ausdruck 
3 Wir berechnen die Ableitungen


4 Wir wenden die Regel von de L’Hospital an

Aufgaben zur Regel von de L’Hospital

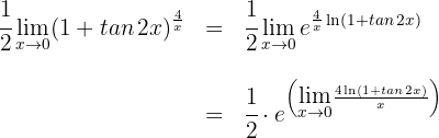
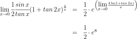
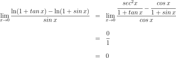
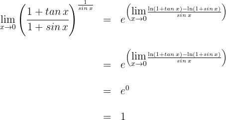
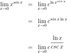
1 Wir schreiben
in Sinus- und Kosinusausdrücken und wenden dann Grenzwerte an

Como
el límite se simplifica en

2 Für
erhalten wir den unbestimmten Ausdruck 
3 Wir schreiben
. Durch Anwendung des natürlichen Logarithmus und der Exponentialfunktion erhalten wir

4 Wir schreiben den Grenzwert erneut auf und wenden an, dass die Exponentialfunktion stetig ist

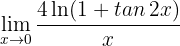
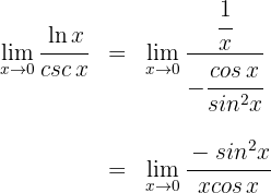
Nun muss nur noch berechnet werden

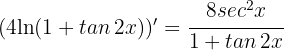
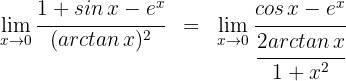
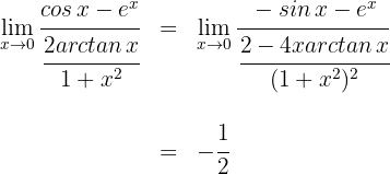
5 Für
erhalten wir den unbestimmten Ausdruck
. Wir berechnen die Ableitungen des Zählers und des Nenners


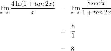
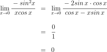
6 Wir wenden die Regel von de L’Hospital an

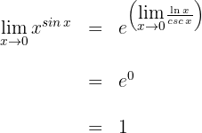
7 Somit lautet der gesuchte Grenzwert

Aufgaben zur Regel von de L’Hospital

1 Für
erhalten wir den unbestimmten Ausdruck 
2 Wir berechnen die Ableitungen


3 Wir wenden die Regel von de L’Hospital an

4 Für
erhalten wir den unbestimmten Ausdruck
, weshalb wir erneut die Regel von de L'Hospital anwenden

Aufgaben zur Regel von de L’Hospital

1 Für
erhalten wir den unbestimmten Ausdruck 
2 Wir berechnen die Ableitungen


3 Wir wenden die Regel von de L’Hospital an

4 Für
erhalten wir den unbestimmten Ausdruck
, weshalb wir erneut die Regel von de L'Hospital anwenden

Aufgaben zur Regel von de L’Hospital

1 Für
erhalten wir den unbestimmten Ausdruck
. Wir addieren die Brüche

Für
erhalten wir den unbestimmten Ausdruck
.
2 Wir berechnen die Ableitungen


3 Wir wenden die Regel von de L’Hospital an

4 Für
erhalten wir den unbestimmten Ausdruck
, weshalb wir zunächst vereinfachen und erneut die Regel von de L’Hospital anwenden

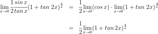
Aufgaben zur Regel von de L’Hospital

1 Für
erhalten wir den unbestimmten Ausdruck 
2 Wir schreiben die Grenze unter Verwendung des natürlichen Logarithmus und der Exponentialfunktion

3 Wir schreiben den Grenzwert erneut auf und wenden an, dass die Exponentialfunktion stetig ist

Jetzt muss nur noch berechnet werden

4 Für
erhalten wir den unbestimmten Ausdruck
. Wir berechnen die Ableitungen des Zählers und des Nenners


5 Wir wenden die Regel von de L’Hospital an

6 Somit lautet der gesuchte Grenzwert

Aufgaben zur Regel von de L’Hospital

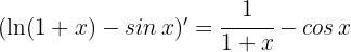
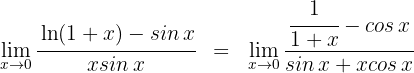
1 Für
erhalten wir den unbestimmten Ausdruck 
2 Wir schreiben die Grenze unter Verwendung des natürlichen Logarithmus und der Exponentialfunktion

3 Wir schreiben den Grenzwert erneut auf und wenden an, dass die Exponentialfunktion stetig ist

Jetzt muss nur noch berechnet werden

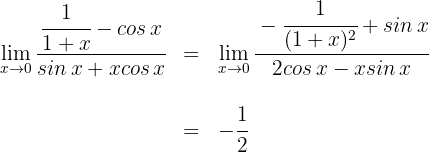
4 Für
erhalten wir den unbestimmten Ausdruck
. Wir berechnen die Ableitungen des Zählers und Nenners


5 Wir wenden die Regel von de L’Hospital an

Für
erhalten wir den unbestimmten Ausdruck
. Wir wenden erneut die Regel von de L’Hospital an

6 Somit lautet der gesuchte Grenzwert

Mit KI zusammenfassen:
