Steigung der Tangente
Die Steigung der Tangente, die einen Graphen an einem Punkt berührt, ist gleich der Ableitung der Funktion an diesem Punkt.

Beispiel: Berechne die Steigung der Tangente am Funktionsgraphen
für 
1 Wir berechnen die Ableitung
2 Die gesuchte Steigung ist
Gleichung der Tangente
Die Tangente an einem Punkt eines Funktionsgraphen verläuft durch den Punkt
und ihre Steigung ist gleich
. Sie ist gegeben durch
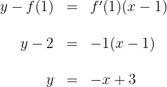
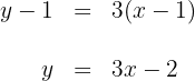
Beispiel: Bestimme die Tangente an dem Graphen
bei 
1 Wir berechnen den Punkt auf dem Graphen, durch den die Tangente verläuft
2 Wir berechnen die Steigung der Tangente bei 
3 Die Gleichung der Tangente ist
Aufgaben mit Lösungen
Berechne die Punkte, an denen die Tangente an dem Graphen
parallel zur
-Achse ist.
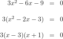
1 Berechne die Ableitung des Funktionsgraphen

2 Die
-Achse hat die Steigung 0 und die Steigung der Tangente ist gleich der Ableitung. Die parallelen Geraden haben dieselbe Steigung

die Werte für
sind somit
und 
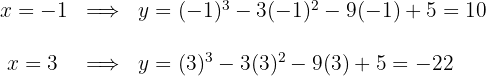
3 Wir berechnen die Werte 

Die gesuchten Punkte sind
und 
Es wird eine Tangente an dem Graphen
gezeichnet, deren Steigung
ist und die durch den Punkt
verläuft. Ermittle den Berührungspunkt.
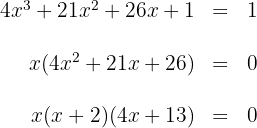
1 Wir berechnen die Ableitung des Funktionsgraphen

2 Da die Steigung
ist, setzen wir sie gleich der Ableitung und bestimmen die Werte der Berührungspunkte mit der Steigung 3

somit gelten für
die Werte
und 
3 Wir berechnen die Werte 

Die gesuchten Punkte sind
und 
4 Die Gleichung der Tangente mit dem Berührungspunkt
ist
,
die nicht durch den Punkt
verläuft.
Die Gleichung der Tangente mit dem Berührungspunkt
ist
,
die durch den Punkt
verläuft. Somit ist der gesuchte Punkt der Tangente
.
Bestimme die Punkte des Funktionsgraphen
, für die die Tangente einen Winkel von
mit der
-Achse bildet.
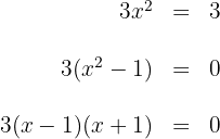
1 Wir berechnen die Ableitung des Funktionsgraphen

2 Die Steigung ist gleich
. Wir setzen diese Steigung gleich der Ableitung und ermitteln die Werte der Berührungspunkte mit der Steigung 3

für
gilt
und 
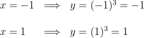
3 Wir berechnen die Werte der 2. Koordinate der Berührungspunkte

Die gesuchten Punkte sind
und 
Gegeben ist die Funktion
. Bestimme den Winkel, den die Tangente an den Graphen der Funktion
im Ursprung mit der x-Achse bildet.
1 Wir berechnen die Ableitung des Funktionsgraphen

2 Die Steigung im Ursprung ist
. Somit ist der durch die Tangente und die x-Achse gebildete Winkel

Bestimme die Koeffizienten der Gleichung
. Ihr Graph verläuft durch die Punkte
und
. Die Tangente hat an diesem letzten Punkt eine Steigung von
.
1 Wir berechnen die Ableitung des Funktionsgraphen

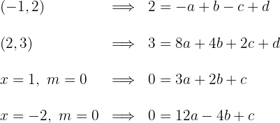
2 Wenn man die beiden Punkte, durch die der Graph verläuft, in die gegebene Gleichung und die Steigung der Tangente einsetzt, erhält man das folgende System mit 3 Gleichungen

3 Das Gleichungssystem

hat die Lösung 
Bestimme die Koeffizienten der Gleichung
. Ihr Graph verläuft durch die Punkte
und
, wobei die Tangente an den Punkt der x-Achse
parallel zur Winkelhalbierenden des 1. Quadranten verläuft. Ermittle den numerischen Wert der Koeffizienten der Gleichung.
1 Wir berechnen die Ableitung des Funktionsgraphen

2 Setzt man die beiden Punkte, durch die der Graph verläuft, in die gegebene Gleichung und die Steigung der Tangente, die
ist, erhält man das folgende System mit 3 Gleichungen

3 Das Gleichungssystem

hat die Lösung 
Bestimme die Koeffizienten der Gleichung
. Ihr Graph verläuft durch die Punkte
und
, wobei die Tangente an den Punkten
und
auf der x-Achse parallel zur x-Achse verläuft. Ermittle den numerischen Wert der Koeffizienten der Gleichung.
1 Wir berechnen die Ableitung des Funktionsgraphen

2 Setzt man die beiden Punkte, durch die der Graph verläuft, in die gegebene Gleichung und die Steigung der Tangente, die
ist, ein, so erhält man das folgende System mit 4 Gleichungen

3 Das Gleichungssystem

hat die Lösung 
Mit KI zusammenfassen:








