Was ist die Kettenregel?
Sehr oft treten Funktionen auf, die eine kompliziertere Struktur haben und abgeleitet werden müssen, wobei eine direkte Ableitung mit den üblichen Formeln nicht möglich ist.
Aus diesem Grund ist es nützlich, weitere Werkzeuge zu kennen und zu erkennen, wie man solche Funktionen ableiten kann.
Wenn wir uns auf komplexere Funktionen beziehen, sprechen wir von Funktionen, die aus der Zusammensetzung von zwei anderen Funktionen entstehen.
Wir haben folgende zwei Funktionen
Nun können wir eine neue Funktion bilden:
.
Wie lautet also die Ableitung der neuen Funktion
?
Um diese Frage zu beantworten, müssen wir die folgende Formel verwenden
Formel der Kettenregel
Wie leiten wir mit der Kettenregel ab?
Die Kettenregel ermöglicht es, die Ableitung einer zusammengesetzten Funktion zu bestimmen, indem man die Ableitungen der Funktionen verwendet, aus denen sie zusammengesetzt ist. Der Ableitungsprozess ist sehr einfach und kann wie folgt durchgeführt werden (wir verwenden die oben genannte Funktion als Referenz):
- Wenn wir die Funktion
ableiten müssen, die sich aus der Zusammensetzung zweier anderer Funktionen
ergibt, müssen wir zunächst
und
bestimmen - Sobald wir die Funktionen bestimmt haben, müssen wir
ableiten
- Das Ergebnis der Ableitung von
müssen wir mit
auswerten
- Nun leiten wir
ab
- Schließlich multiplizieren wir die zwei Ergebnisse, um die Ableitung von
zu erhalten
Mit diesem Verfahren können wir nun die gewünschte Ableitung erhalten. Es ist wichtig zu erwähnen, dass es mit mehr Übung möglich ist, das Vorgehen schneller durchzuführen, wenn man die zu befolgenden Schritte erkannt hat.
Beispiele für Übungen mit der Kettenregel
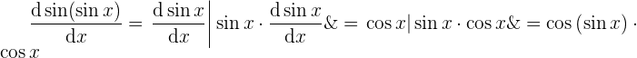
1 Leite die Funktion
ab
Wir gehen wie folgt vor:
- Wir bestimmen die Funktionen
, 
- Wir leiten
ab
- Wir werten das Ergebnis mit
aus
- Wir leiten
ab
- Wir multiplizieren beide Ergebnisse

So erhalten wir bereits die Ableitung der Funktion
.
Es ist wichtig zu erwähnen, dass es gelegentlich nicht nur eine Zusammensetzung gibt, sondern mehrere. In diesem Fall ist die Kettenregel immer noch gültig, nur dass wir sie jetzt mehrmals anwenden, bis wir mit dem Ableiten fertig sind.
Auch dieser Vorgang wird auf einfache Art und Weise erarbeitet, ohne die konkreten Schritte zu beschreiben. Wichtig ist, dass wir die einzelnen Schritte üben.
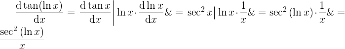
2 Wir leiten die Funktion
ab
Zunächst bestimmen wir die Funktionen
und
, damit wir die Kettenregel anwenden können:
So erhalten wir bereits die Ableitung der Funktion 
Beachte, dass bei der Ableitung die am Anfang genannten Schritte zum Einsatz kommen.
3 Wir leiten die Funktion
ab
Wir bestimmen die Funktionen
und
. Wie wir sehen können, ist dies nun weniger kompliziert, da die Ableitungen einfacher sind:
Wir erhalten das gesuchte Ergebnis.
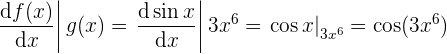
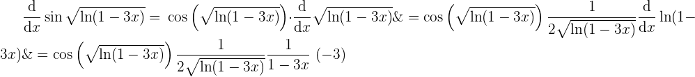
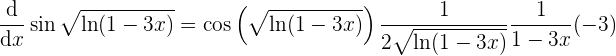
4 Wir leiten die Funktion
ab
Hier stellen wir fest, dass es mehr als eine Zusammensetzung gibt. Um die Funktion ableiten zu können, müssen wir die Kettenregel mehrmals anwenden, bis wir mit dem Ableiten fertig sind.
Gehen wir zunächst von der Annahme aus, dass
und
. Wir wenden also die Kettenregel an 
wir stellen damit fest, dass es nun notwendig ist, die Kettenregel für
anzuwenden
Wir wenden sie also an und addieren das Ergebnis zur ursprünglichen Ableitung 
Nun sehen wir, dass wir erneut die Kettenregel anwenden müssen: 
und damit können wir dann alle Ergebnisse vereinen 
Daraus können wir schließen, dass 
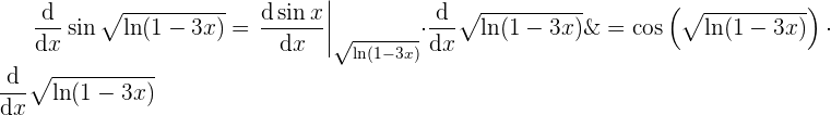
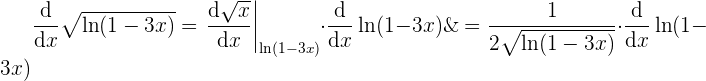
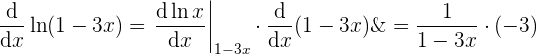
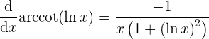
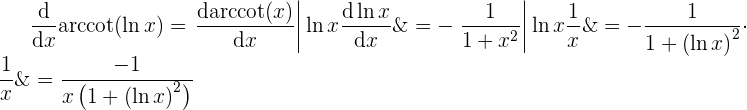
5 Leite die Funktion
ab
Wir bestimmen wieder die Funktionen
und
, sodass wir die Kettenregel anwenden können
,
Daraus schließen wir, dass 
Mit KI zusammenfassen:








