Berechne die Punkte, an denen die Tangente an den Graphen
parallel zur x-Achse ist.
Berechne die Punkte, an denen die Tangente an den Graphen
parallel zur x-Achse ist.
Die x-Achse hat die Gleichung
, weshalb 
Wir setzen die 1. Ableitung gleich
, um die Berührungspunkte zu ermitteln.
;
(wir vereinfachen durch
)
Wir ermitteln die zweiten Koordinaten durch Einsetzen in die Funktion



An den Graphen
wurde eine Tangente gezeichnet, deren Steigung
ist und die durch den Punkt
verläuft. Finde den Berührungspunkt.
An den Graphen
wurde eine Tangente gezeichnet, deren Steigung
ist und die durch den Punkt
verläuft. Finde den Berührungspunkt.
Der Berührungspunkt sei 

Wir setzen die 1. Ableitung mit der Steigung gleich

Die Gleichungen der Tangenten sind:




Der Punkt
gehört zur Geraden
.
Somit ist der Berührungspunkt
.
Finde die Punkte des Graphen
, für die die Tangente einen Winkel von
mit der x-Achse bildet.
Finde die Punkte des Graphen
, für die die Tangente einen Winkel von
mit der x-Achse bildet.


Wir setzen die 1. Ableitung mit der Steigung gleich und lösen die Gleichung


Die 2. Koordinaten erhalten wir durch Einsetzen in die Funktion

Gegeben ist die Funktion
. Finde den Winkel, den die Tangente an den Graphen der Funktion
im Ursprung mit der x-Achse bildet.
Gegeben ist die Funktion
. Finde den Winkel, den die Tangente an den Graphen der Funktion
im Ursprung mit der x-Achse bildet.



Berechne die Gleichung der Tangente und der Normalen des Graphen
im Punkt der Abszisse:
.
Berechne die Gleichung der Tangente und der Normalen des Graphen
im Punkt der Abszisse:
.


Tangentengleichung:

Normalengleichung:

Ermittle die Koeffizienten der Gleichung
, wenn du weißt, dass ihr Graph durch
und
verläuft und in diesem letzten Punkt die Tangente die Steigung
hat.
Ermittle die Koeffizienten der Gleichung
, wenn du weißt, dass ihr Graph durch
und
verläuft und in diesem letzten Punkt die Tangente die Steigung
hat.
Verläuft durch 
Verläuft durch 

Wir lösen das System und erhalten:

Der Graph der Funktion
verläuft durch die Punkte
und
. Die Tangente im Punkt
auf der x-Achse ist parallel zur Winkelhalbierenden des 1. Quadranten. Berechne den numerischen Wert von
und
.
Der Graph der Funktion
verläuft durch die Punkte
und
. Die Tangente im Punkt
auf der x-Achse ist parallel zur Winkelhalbierenden des 1. Quadranten. Berechne den numerischen Wert von
und
.
Verläuft durch 
Verläuft durch 

Wir lösen das System und erhalten

Gegeben ist die Funktion
. Berechne
und
; ihr Graph verläuft durch die Punkte
und
. Die Tangenten an den Abszissenpunkten
und
sind parallel zur x-Achse.
Gegeben ist die Funktion
. Berechne
und
; ihr Graph verläuft durch die Punkte
und
. Die Tangenten an den Abszissenpunkten
und
sind parallel zur x-Achse.





In welchem Punkt des Graphen
verläuft die Tangente parallel zur Sehne, die die Punkte
und
verbindet?
In welchem Punkt des Graphen
verläuft die Tangente parallel zur Sehne, die die Punkte
und
verbindet?
Die Steigung der Sehne muss gleich der Ableitung der Funktion sein.



Die Gleichung für eine Kreisbewegung lautet:
. Wie hoch sind die Geschwindigkeit und die Beschleunigung nach sieben Sekunden?
Die Gleichung für eine Kreisbewegung lautet:
. Wie hoch sind die Geschwindigkeit und die Beschleunigung nach sieben Sekunden?


Ein Beobachter befindet sich
vom Startturm einer Rakete entfernt. Wenn sie senkrecht abhebt, misst sie die Veränderung des Winkels
zwischen der Sichtlinie zur Rakete und dem horizontalen Bodenwinkel in Abhängigkeit von der verstrichenen Zeit. Wir wissen, dass
. Berechne:
- Auf welcher Höhe befindet sich die Rakete, wenn
? - Wie schnell ist die Rakete, wenn
?
Ein Beobachter befindet sich
vom Startturm einer Rakete entfernt. Wenn sie senkrecht abhebt, misst sie die Veränderung des Winkels
zwischen der Sichtlinie zur Rakete und dem horizontalen Bodenwinkel in Abhängigkeit von der verstrichenen Zeit. Wir wissen, dass
. Berechne:
a Auf welcher Höhe befindet sich die Rakete, wenn
?


b Wie schnell ist die Rakete, wenn
?



In einen kugelförmigen Ballon wird Gas mit einer Geschwindigkeit von
/min gepumpt. Wie schnell ändert sich der Radius des Ballons bei konstantem Druck, wenn der Durchmesser
beträgt?
In einen kugelförmigen Ballon wird Gas mit einer Geschwindigkeit von
/min gepumpt. Wie schnell ändert sich der Radius des Ballons bei konstantem Druck, wenn der Durchmesser
beträgt?
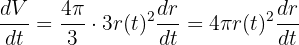
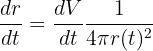
Um dieses Problem zu lösen, benötigen wir die Formel für das Volumen in Abhängigkeit vom Radius:

Außerdem wissen wir, dass die Änderungsrate des Volumens
mit der Einheit
angegeben.
Um die Funktionen miteinander in Beziehung zu setzen, müssen wir das Volumen in Abhängigkeit von der Zeit schreiben. Wir tun dies, indem wir
schreiben, da der Radius ebenfalls mit der Zeit variiert. Somit:

Nun leiten wir das Volumen in Abhängigkeit von der Zeit ab (wir verwenden die Kettenregel):

Wir stellen fest, dass wir in der obigen Gleichung bereits alles haben, was wir brauchen. Wir kennen bereits
, das konstant ist. Außerdem ist
die Variable, nach der wir suchen. Wir bestimmen zunächst
.

Wir kennen die Zeit nicht, aber wir wissen, dass der Durchmesser 120 cm beträgt, d.h. der Radius ist 60 cm oder 0,6 m. Wir setzen diese Werte ein:

Die Antwort lautet also 1,33 m/min.
Finde den Schnittwinkel zwischen den Graphen
und 
Finde den Schnittwinkel zwischen den Graphen
und 
1 Wir wenden die Formel an

2 Wir setzen die beiden Graphen gleich

3 Wir berechnen die Steigungen

4 Wir setzen in die Formel für den Winkel zwischen zwei Graphen ein

Mit KI zusammenfassen:
