Der Prozess der Optimierung
Die Optimierung einer Funktion besteht darin, ihre Maximal- und Minimalwerte zu finden, d. h. die Werte im Bereich der Funktion zu ermitteln, für die das Maximum und das Minimum im Bereich der Zielmenge erreicht werden. Der Optimierungsprozess ist eine der wichtigsten Anwendungen der Ableitung. Hierfür ist es nützlich, die gängigsten und am häufigsten verwendeten Ableitungen zur Hand zu haben. Im Folgenden werden wir eine Methode zur Lösung von Optimierungsproblemen vorstellen und einige Beispiele geben.
- Aus den Bedingungen des Problems wird die zu maximierende oder zu minimierende Funktion extrahiert oder formuliert.
- Falls mehr als eine Variable an dem Problem beteiligt ist, stellen wir Gleichungen auf, die die verschiedenen Variablen des Systems miteinander verbinden.
- Wir ermitteln eine Variable aus der Gleichung und setzen sie in die Funktion ein, so dass eine Funktion mit nur einer Variablen übrig bleibt.
- Um die lokalen Extrema zu finden, müssen wir die Funktion mit 0 gleichsetzen und die resultierende Gleichung lösen.
- Wir berechnen die 2. Ableitung, um das erhaltene Ergebnis zu überprüfen.
Aufgaben mit Lösungen
Finde von allen gleichschenkligen Dreiecken mit
Umfang die Seiten, die das Dreieck mit dem größten Flächeninhalt bilden.
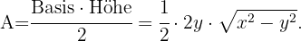
Die Funktion, die es zu optimieren oder genauer gesagt zu maximieren gilt, ist die Funktion, die durch den Flächeninhalt des Dreiecks definiert ist. Da das Dreieck gleichschenklig ist, ist seine Basis die Seite
und seine Höhe kann mit dem Satz des Pythagoras berechnet werden. Wir erhalten
Unter der Bedingung, dass der Umfang des Dreiecks
beträgt, können wir die Variablen in Beziehung setzen:
Dieses Ergebnis können wir in die Funktion einsetzen:
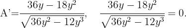
Um die lokalen Extrema zu finden, leiten wir ab, setzen wir gleich 0 und berechnen die Nullstellen.

Schließlich können wir unser Ergebnis mit dem Kriterium der 2. Ableitung überprüfen. Es sei daran erinnert, dass wir ein lokales Maximum erhalten, wenn die 2. Ableitung ein negatives Vorzeichen hat, und ein lokales Minimum, wenn die 2. Ableitung ein positives Vorzeichen hat. Wir führen also die 2. Ableitung durch und werten für
aus, da die Lösung
verworfen wird, weil es kein Dreieck gibt, dessen Seite 0 ist.


Es ist also bewiesen, dass es bei
ein Maximum gibt.
Die Basis
misst
und die schrägen Seiten
messen ebenfalls
. Das Dreieck mit der größten Fläche wäre also ein gleichseitiges Dreieck.
Aus einem Karton mit den Maßen
schneidet man an jeder Ecke ein Quadrat mit der Seite
aus und faltet es (siehe Abbildung), so dass eine Schachtel entsteht. Berechne
so, dass das Volumen der Schachtel maximal ist.

Zunächst müssen wir die zu optimierende Funktion ermitteln. Diese Funktion wird durch das Volumen der Schachtel definiert, die als Seiten
,
und als Höhe
hat. Somit lautet unsere Funktion 
Es ist zu beachten, dass wir hier nur eine Variable haben, so dass wir direkt zur Bestimmung der lokalen Extrema übergehen können. Wir denken daran, dass wir dazu unsere Funktion ableiten und die resultierende Gleichung gleich 0 setzen müssen.
Diese Gleichung lässt sich nach folgender Formel lösen
Daraus ergeben sich die folgenden zwei Lösungen

Wir stellen fest, dass die Lösung
nicht gültig ist, da die Seite
negativ wäre. Unser einziges lokales Extremum ist also
.
Berechnet man die 2. Ableitung der Funktion
und wertet sie für
aus, erhält man
haben.
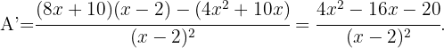
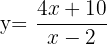
Ein Blatt Papier muss
bedruckten Text, einen oberen und unteren Rand von
Höhe und seitliche Ränder von
Breite aufweisen. Berechne die Abmessungen, die die Papierfläche minimieren.

Die zu minimierende Funktion ist durch die Fläche der Papieroberfläche
gegeben. Nun müssen wir aus den Bedingungen des Problems Gleichungen extrahieren, die die Variablen in Beziehung setzen. Aus der Abbildung und da wir
gedruckten Text haben müssen, können wir schließen, dass
. Wir lösen nach
auf und erhalten
. Wenn wir
in der Funktion ersetzen, erhalten wir 
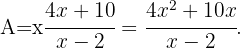
Nun können wir die Funktion ableiten, um die lokalen Extrema zu ermitteln:
Wir setzen die Ableitung gleich 0

Das bedeutet, dass wir die Gleichung
lösen müssen. Beachte, dass

Unsere Lösungen sind also
und
. Wir müssen die Lösung
verwerfen, da sie negativ ist. Es gibt also nur eine Lösung für unser Problem. Daher brauchen wir die 2. Ableitung nicht zu berechnen und können daraus schließen, dass wir bei
und
die Abmessungen finden, die die Papierfläche minimieren.
Zerlege die Zahl 44 in zwei Summanden, so dass das Fünffache des Quadrats der ersten Zahl minus das Sechsfache des Quadrats der zweiten Zahl ein Minimum ist.
Zunächst stellen wir die zu lösende Gleichung auf, die wir optimieren müssen. Wir nennen die erste Zahl
und die zweite Zahl
. Da das Fünffache des Quadrats des ersten minus das Sechsfache des Quadrats des zweiten das Minimum sein muss, lautet unsere Funktion
. Und wir setzen die beiden Variablen durch die Bedingung in Beziehung, dass
die Summe von zwei Zahlen ist, d. h. 
Danach ersetzen wir den Wert von
und erhalten
Wir leiten die Funktion
ab und erhalten
Schließlich lösen wir die folgende Gleichung
und erhalten

Wir kennen nun den Wert für
, nämlich
. Somit ist
die Lösung für unser Problem. Wir überprüfen mittels der 2. Ableitung und erhalten
. Somit ist
ein Minimum der Funktion
.
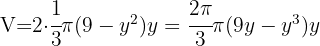
Der Wert eines Diamanten ist proportional zum Quadrat seines Gewichts. Teile einen 2 g schweren Diamanten in zwei Teile, so dass die Summe der Werte der beiden entstandenen Diamanten minimal ist.
Angenommen,
ist das Gewicht eines Diamanten. Da der Wert des Diamanten proportional zum Quadrat des Gewichts ist, muss der Wert unseres Diamanten durch
gegeben sein, wobei
eine positive Proportionalitätskonstante ist. Wenn man einen Diamanten von
in zwei Teile mit den Gewichten
und
aufteilt, erhält man eine Gleichung, die nicht nur die Gewichte der Teile, sondern auch ihre Werte in Beziehung setzt:
. Die Werte der einzelnen Teile sind also latex]kx^{2},\quad k(2-x)^{2}.[/latex] Und die Funktion, die wir optimieren wollen, ist durch die Summe dieser Werte gegeben, nämlich
. Um die Extremwerte dieser Funktion zu finden, müssen wir ableiten und gleich 0 setzen


Wie wir sehen können, haben wir eine Lösung
für unser Problem erhalten. Um zu prüfen, ob diese Lösung einen Minimalwert ergibt, ermitteln wir die 2. Ableitung und prüfen, ob sie tatsächlich positiv ist:

Auf diese Weise muss der Diamant in zwei gleiche Teile von je 1 g geteilt werden.
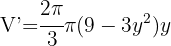
Eine Boje, die aus zwei geraden, an der Basis verbundenen Eisenkegeln besteht, soll mit Hilfe von zwei kreisförmigen Platten mit einem Radius von 3 m gebaut werden. Berechne die Abmessungen der Boje so, dass ihr Volumen maximal ist.

Die Funktion, die wir maximieren müssen, ist das doppelte Volumen eines Kegels, also
. Da die Basis aus zwei kreisförmigen Platten mit dem Radius
besteht, lautet die Gleichung für die Variablen
. Wir ersetzen
in der Funktion und erhalten
. Nun leiten wir
ab und setzen gleich 0, um die Extremwerte
zu ermitteln.

Wir lösen die vorherige Gleichung und erhalten

Schließlich müssen wir die 2. Ableitung für
auswerten, um zu überprüfen, ob wir daraus ein Maximum für die Funktion des Volumens erhalten
für die Funktion des Volumens gibt.
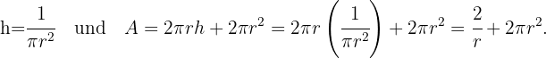
Es soll eine zylindrische Blechdose (mit Deckel) mit einem Fassungsvermögen von 1 Liter hergestellt werden. Welche Abmessungen sollte sie haben, damit möglichst wenig Metall verwendet wird?
Aus dieser Aussage können wir schließen, dass wir die Funktion minimieren müssen, die die Fläche der zylindrischen Dose definiert, die durch
gegeben ist. Da die Dose ein Fassungsvermögen von einem Liter haben muss, ist ihr Volumen gleich
, weshalb
. Wenn wir dann nach
auflösen, erhalten wir
Wir leiten die Funktion
ab und erhalten 
Um die Extremwerte zu finden, setzen wir die obige Gleichung gleich 0 und lösen nach
auf.

Nun können wir den Wert von
anhand des Wertes von
ermitteln und erhalten
. Wir überprüfen mit der 2. Ableitung und erhalten

Somit sind die Maße der Dose mit
minimal.
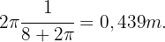
Wir möchten einen Draht mit einer Länge von
in zwei Teile teilen, um mit dem einen Teil einen Kreis und mit dem anderen ein Quadrat zu bilden. Berechne die Länge der einzelnen Teile so, dass die Summe der Flächen des Kreises und des Quadrats minimal ist.
Wenn das Quadrat die Seitenlänge
und der Kreis den Radius
hat, dann lautet die zu optimierende Funktion:
Da der Draht eine Länge von
hat, ergibt sich aus der Summe der Umfänge des Kreises und des Quadrats die Gleichung für die Variablen:
. Wir ersetzen in
und erhalten
Als nächstes leiten wir die Funktion
ab und setzen sie gleich 0, um die Extremwerte zu erhalten: 

Mit diesem Wert für
ergibt sich Folgendes:
Drahtstück für den Kreis=
und
Drahtstück für das Quadrat=
Wie immer bei dieser Art von Problemen, besteht der letzte Teil der Minimierung darin, die zweite Ableitung zu finden und zu prüfen, ob sie für die gefundenen Werte positiv ist.

Ein Kreissektor hat einen Umfang von
. Berechne den Radius und die Weite des Sektors mit der größten Fläche.

Unsere zu optimierende Funktion ist diejenige, die durch die Fläche des Kreissektors definiert ist; aus der Abbildung ergibt sich:
Da der Umfang
beträgt, ist
. Wir ersetzen
in der Funktion und erhalten
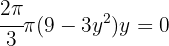
Als nächstes leiten wir die Funktion
ab und setzen gleich 0, um einen Extremwert zu bestimmen: 

Nachdem wir einen Wert für
erhalten haben, können wir Werte für
und
bestimmen.

In diesem Fall ist die 2. Ableitung von
konstant und negativ
ergeben.
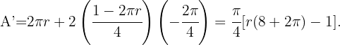
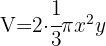
Berechne das gleichschenklige Dreieck mit der größten Fläche, das in einen Kreis mit dem Radius
eingeschrieben ist.

Die Fläche des Dreiecks ist durch
gegeben. Die Abbildung zeigt ein rechtwinkliges Dreieck, das mit dem Radius des Kreises, einer Seite des Dreiecks und seiner Höhe gebildet wird. Wir wenden den Satz des Pythagoras an und erhalten
Wir ersetzen in
und erhalten
. Wie immer, leiten wir nun ab:
Wir setzen gleich 0 und erhalten

Mit diesen Werten können wir das Folgende über die Werte des Dreiecks sagen:
Basis:
,
Seite: 
Um zu prüfen, ob diese Werte ein Maximum für die Fläche ergeben, müssen wir die 2. Ableitung für
auswerten und erhalten in der Tat einen negativen Wert


Mit KI zusammenfassen:








