Wenn eine Funktion an einem Punkt
ableitbar ist, dann ist sie an
stetig.
Das Gegenteil davon ist falsch, d. h. es gibt Funktionen, die an einem Punkt stetig sind, aber dennoch nicht abgeleitet werden können. Im Folgenden sehen wir einige Beispiele, anhand derer wir diese Aussagen untersuchen können.
Beispiele
Untersuche die Stetigkeit und Ableitbarkeit der Funktionen:
1 Wir nehmen
Zunächst untersuchen wir die Stetigkeit bei
. Wir stellen fest, dass
somit ist die Funktion nicht stetig bei
und kann somit auch nicht abgeleitet werden.

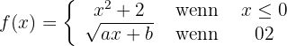
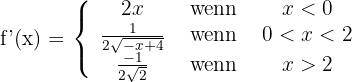
2 Wir nehmen
Zunächst untersuchen wir die Stetigkeit bei
:
Die Funktion ist stetig, weshalb wir untersuchen können, ob sie abgeleitet werden kann
Da die seitlichen Ableitungen nicht übereinstimmen, ist sie bei
nicht ableitbar.

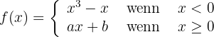
3 Wir nehmen
:
Die Funktion ist stetig bei
, weshalb wir untersuchen können, ob sie abgeleitet werden kann.
Das heißt, die Funktion ist bei
stetig und ableitbar.

4 Untersuche, für welche Werte von
und
die Funktion stetig und ableitbar ist:
Wir stellen fest, dass
Das heißt, damit sie stetig bei
ist, muss
gelten.
Betrachten wir nun
und sehen wir uns an, welchen Wert
annehmen muss, damit sie ableitbar ist.
Wir haben
Sie muss also
annehmen.
5 Ermittle die Werte von
und
, so dass die folgende Funktion in all ihren Punkten abgeleitet werden kann:
Damit eine Funktion ableitbar ist, muss sie stetig sein. In diesem Fall ist die Funktion für
nicht stetig, egal, was
und
sind. Das heißt, es gibt keine Werte von es decir, no existen valores de
und
, für die die Funktion stetig wird. Daher gibt es keine Werte
und
, für die die Funktion ableitbar ist.
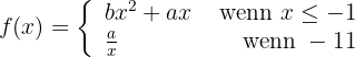
6 Untersuche, für welche Werte von
und
die Funktion stetig und ableitbar ist:
Wir stellen fest, dass
Damit sie bei
stetig ist, muss gelten, dass
Andererseits für 
damit sie also stetig bei
ist, muss gelten, dass
Somit ist die Funktion für
und
im gesamten Bereich
stetig.
Nun haben wir
Wir stellen fest, dass
Somit ist sie bei
nicht ableitbar und
Das heißt, sie ist ableitbar bei
.
7 Untersuche die Stetigkeit und Ableitbarkeit der wie folgt definierten Funktion
Die Funktion ist nicht stetig bei
, da sie keine Abbildung hat. Somit ist sie an diesem Punkt auch nicht ableitbar.
Und nun bei
:
Da sie stetig ist, wollen wir sehen, ob sie sich durch die Formeln der unmittelbaren trigonometrischen Ableitungen ableiten lässt
und stellen fest, dass
Da die seitlichen Ableitungen nicht übereinstimmen, ist sie an diesem Punkt nicht ableitbar.
Mit KI zusammenfassen:
