Aufgaben mit Lösungen
Ermittle die Intervalle, auf denen die Funktion
steigt oder fällt
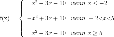
1 Wir schreiben den Betrag als abschnittsweise definierte Funktion

Wir leiten die Funktion ab

2 Wir berechnen die Nullstellen der 1. Ableitung, dazu setzen wir die Ableitung gleich 0 und lösen nach
. Für jeden Teil der Funktion gilt:
wenn
für
, ist
. Dieser Wert gehört jedoch nicht zu
; somit hat
keine Nullstellen auf 
wenn
für
, ist
. Dies gehört zu
; somit hat
eine Nullstelle auf 
wenn
für
, ist
. Dieser Wert gehört jedoch nicht zu
; somit hat
keine Nullstellen auf 
An den Punkten
und
hingegen existiert die Ableitung nicht, so dass wir die seitlichen Grenzwerte für die Ableitung an diesen Punkten berechnen.


Da die seitlichen Ableitungen nicht übereinstimmen, gibt es die Ableitung
nicht. Auf die gleiche Weise führen wir die Berechnung für
durch.


Da die seitlichen Ableitungen nicht übereinstimmen, gibt es die Ableitung
nicht.
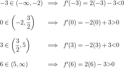
3 Wir bilden offene Intervalle mit den Nullstellen der 1. Ableitung und den Punkten, an denen es die Ableitung nicht gibt. Wir stützen uns dabei auf die Darstellung der Punkte auf der Zahlengeraden.

Die Intervalle, die wir erhalten, sind
und
4 Wir nehmen einen Wert aus jedem Intervall (du kannst jeden Wert im Intervall nehmen) und bestimmen das Vorzeichen, das er in der 1. Ableitung hat.


5 Wir schreiben die Intervalle, auf denen die Funktion steigt und fällt
Steigend: 
Fallend: 

Ermittle die Intervalle, auf denen die Funktion
steigt oder fällt
1 Wir leiten die Funktion ab

2 Wir berechnen die Nullstellen der 1. Ableitung (sofern vorhanden). Hierfür setzen wir die Ableitung gleich 0 und lösen nach
auf

Wendet man die allgemeine Formel für quadratische Gleichungen auf den Zähler an, so hebt sich die obige Gleichung bei
auf. Wir stellen fest, dass die Funktion und ihre Ableitung eine Unstetigkeitsstelle bei
haben.
3 Wir bilden offene Intervalle mit der Unstetigkeitsstelle und den Nullstellen der Ableitung. Wir stützen uns auf die Darstellung der Punkte auf Zahlengeraden

Die Intervalle, die wir erhalten, sind
und 
4 Wir nehmen einen Wert aus jedem Intervall (du kannst jeden Wert im Intervall nehmen) und bestimmen das Vorzeichen, das er in der 1. Ableitung hat.
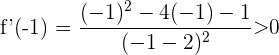
Für das Intervall
nehmen wir
, setzen in die Ableitung ein und erhalten

Für das Intervall
nehmen wir
, setzen in die Ableitung ein und erhalten

Für das Intervall
nehmen wir
, setzen in die Ableitung ein und erhalten

Für das Intervall
nehmen wir
, setzen in die Ableitung ein und erhalten


5 Wir schreiben die Intervalle, auf denen die Funktion steigt und fällt
Steigend: 
Fallend: 

Bestimme die Intervalle, auf denen die Funktion mit Spitze
steigt und fällt
1 Wir leiten die Funktion ab

2 Wir berechnen die Nullstellen der 1. Ableitung (sofern vorhanden) und setzen hierfür die Ableitung gleich 0. Wir lösen nach
auf

für
existieren keine Werte in den reellen Zahlen, die die vorherige Gleichung erfüllen. Somit hat die Ableitung keine Nullstellen. Wir stellen fest, dass die Ableitung bei
nicht existiert.
3 Wir bilden offene Intervalle mit der Unstetigkeitsstelle, in diesem Fall hat die Ableitung keine Nullstellen. Wir stützen uns auf die Darstellung der Punkte auf der Zahlengeraden.

Die Intervalle, die wir erhalten, sind
y 
4 Wir nehmen einen Wert aus jedem Intervall (du kannst jeden beliebigen Wert nehmen) und ermitteln das Vorzeichen, das er in der 1. Ableitung hat.
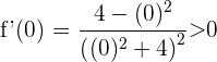
Für das Intervall
nehmen wir
, setzen in die Ableitung ein und erhalten

Für das Intervall
nehmen wir
, setzen in die Ableitung ein und erhalten


5 Wir schreiben die Intervalle, auf denen die Funktion steigt und fällt
Steigend: 
Fallend: 

Ermittle die Intervalle, auf denen die Funktion
steigt oder fällt
1 Wir leiten die Funktion ab

2 Wir berechnen die Nullstellen der 1. Ableitung (sofern vorhanden). Hierfür setzen wir die Ableitung gleich 0 und lösen nach
auf

Die vorherige Gleichung hebt sich auf bei
. Wir stellen fest, dass der Nenner der Gleichung niemals 0 ist.
3 Wir bilden offene Intervalle mit den Nullstellen der Ableitung und stützen uns auf die Darstellung der Punkt auf der Zahlengeraden.

Die Intervalle, die wir erhalten, sind
und 
4 Wir nehmen einen Wert auf jedem Intervall (du kannst jeden Wert im Intervall nehmen) und bestimmen das Vorzeichen, das er in der 1. Ableitung hat.
Für das Intervall
nehmen wir
, setzen in die Ableitung ein und erhalten

Für das Intervall
tomamos
, setzen in die Ableitung ein und erhalten

Für das Intervall
nehmen wir
, setzen in die Ableitung ein und erhalten


5 Wir schreiben die Intervalle, auf denen die Funktion steigt und fällt
Steigend: 
Fallend: 

Bestimme die Werte von
, so dass die Funktion
streng monoton steigt.
1 Wir leiten die Funktion ab

2 Damit die Funktion streng monoton steigt, muss die Ableitung größer als 0 sein.

Wir wissen, dass
und somit
.
Wähle einfach
, um sicherzustellen, dass
für jeden Wert 

Mit KI zusammenfassen:








