Die Ableitung mit der Kettenregel wird angewandt, wenn wir eine Zusammensetzung von Funktionen ableiten wollen.
Wenn wir eine zusammengesetzte Funktion der Form
haben,
ist ihre Ableitung, in Bezug auf
, gegeben durch

oder in Differentialschreibweise

Es ist zu beachten, dass
die Ableitung von
ist, aber in Bezug auf
.
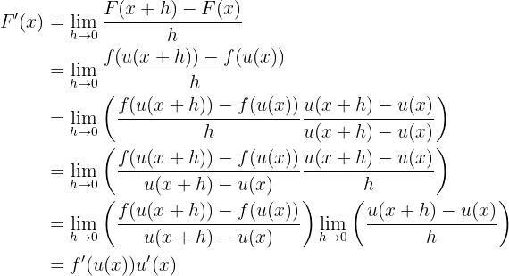
Die Beweisführung würde per Definition folgendermaßen aussehen

Nun sehen wir uns einige Übungen an, bei denen wir die Kettenregel anwenden.
Leite die folgende Funktion ab

In diesem Fall können wir
und
nehmen. Somit:

während

Unsere Ableitung lautet

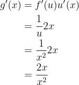
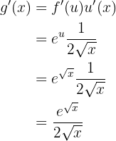
Leite die folgende Funktion ab

In diesem Fall können wir
und
. Así, tenemos que

während

Unsere Ableitung lautet

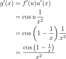
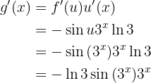
Leite die folgende Funktion ab

Es handelt sich um eine doppelte Zusammensetzung, so dass wir die Kettenregel zweimal anwenden werden. Erster Schritt:
,
wobei
und
. Somit:

Nun leiten wir
ab. Allerdings können wir
auch als Zusammensetzung ausdrücken, wobei
,
und
. Ihre Ableitungen sind

während

Unsere Ableitung lautet

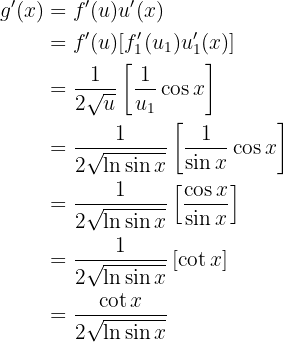
Leite die folgende Funktion ab

In diesem Fall können wir
und
nehmen. Somit:

während

Unsere Ableitung lautet

Leite die folgende Funktion ab

In diesem Fall können wir
und
nehmen. Somit

während

Unsere Ableitung lautet

Mit KI zusammenfassen:
