Das Verhältnis zwischen der von einem Fahrzeug zurückgelegten Strecke in Metern und der Zeit in Sekunden ist
. Berechne:
a Die Geschwindigkeit zwischen
und
.
b Die Momentangeschwindigkeit bei
.
Das Verhältnis zwischen der von einem Fahrzeug zurückgelegten Strecke in Metern und der Zeit in Sekunden ist
. Berechne:
a Die Geschwindigkeit zwischen
und
.

b Die Momentangeschwindigkeit bei
.

Aufgrund der schlechten Umweltbedingungen beginnt eine Kolonie von 1 Million Bakterien erst nach 2 Monaten mit der Vermehrung. Die Funktion, die die Population der Kolonie in Abhängigkeit von der Zeit (ausgedrückt in Monaten) darstellt, ist gegeben durch:

Es wird Folgendes verlangt:
a Überprüfe, ob die Population eine stetige Funktion der Zeit ist.
b Berechne die mittlere Änderungsrate der Population in den Intervallen
und
.
c Berechne die momentane Änderungsrate bei
.
Aufgrund der schlechten Umweltbedingungen beginnt eine Kolonie von einer Million Bakterien erst nach zwei Monaten mit der Vermehrung. Die Funktion, die die Grundgesamtheit der Kolonie in Abhängigkeit von der Zeit (ausgedrückt in Monaten) darstellt, ist gegeben durch:

Es wird Folgendes verlangt:
a Überprüfe, ob die Population eine stetige Funktion der Zeit ist.
Der einzige Punkt, den wir untersuchen müssen liegt bei
. Wir stellen fest, dass
.
Außerdem
.
Sie ist also stetig.
b Berechne die mittlere Änderungsrate der Population in den Intervallen
und
.
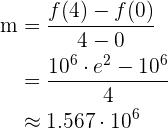
Zunächst führen wir die Berechnungen für das Intervall
durch
.
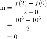
Nun berechnen wir für das Intervall 
.
c Berechne die momentane Änderungsrate bei
.
Die Ableitung von
ist gegeben durch
,
weshalb
Eine Bakterienpopulation hat eine Wachstumsrate, die durch die Funktion
gegeben ist, wobei
die Zeit in Stunden ist. Berechne:
a Die mittlere Wachstumsgeschwindigkeit.
b Die momentane Wachstumsgeschwindigkeit.
c Die momentane Wachstumsgeschwindigkeit für
Stunden.
Eine Bakterienpopulation hat eine Wachstumsrate, die durch die Funktion
gegeben ist, wobei
die Zeit in Stunden ist. Berechne:
a Die mittlere Wachstumsgeschwindigkeit.

b Die momentane Wachstumsgeschwindigkeit.

c Die momentane Wachstumsgeschwindigkeit für
Stunden.

Die Gleichung für eine lineare Bewegung lautet:
. Zu welchem Zeitpunkt wird die Geschwindigkeit 0? Bestimme die Beschleunigung zu diesem Zeitpunkt.
Die Gleichung der linearen Bewegung lautet:
. Wir denken daran, dass die Geschwindigkeit die 1. Ableitung der Bewegungsfunktion ist. Um also den Zeitpunkt zu finden, an dem die Geschwindigkeit gleich 0 ist, müssen wir
ableiten, gleich 0 setzen und nach
auflösen:
.
Wir setzen gleich
und lösen nach
auf

Wenn also
, ist die Geschwindigkeit null.
Die Beschleunigung ist gleich der Ableitung der Geschwindigkeit (oder der 2. Ableitung der Bewegung). Um also die Beschleunigung zu dem Zeitpunkt zu ermitteln, an dem die Geschwindigkeit 0 ist (
), müssen wir
ableiten und bei
auswerten:
,
Wir berechnen für
und erhalten
.
Die Gleichung für eine Kreisbewegung lautet:
. Wie hoch sind die Winkelgeschwindigkeit und die Winkelbeschleunigung nach 7 Sekunden?
Die Gleichung für eine Kreisbewegung lautet:
. Wie hoch sind die Winkelgeschwindigkeit und die Winkelbeschleunigung nach 7 Sekunden?
Wir wissen, dass die Geschwindigkeit die 1. Ableitung der Bewegungsfunktion ist. Um die Geschwindigkeit bei 7 Sekunden zu ermitteln, müssen wir also die Ableitung von
ermitteln und bei
auswerten.
.
Die Beschleunigung ist die 2. Ableitung der Bewegungsfunktion. Um die Beschleunigung nach 7 Sekunden zu erhalten, müssen wir also die Ableitung von
berechnen und bei
auswerten.
.
Ein Beobachter befindet sich in einer Entfernung von
vom Start eines Raketenturms. Wenn die Rakete senkrecht abhebt, misst sie die Änderung des Winkels
, den die Sichtlinie zwischen der Rakete und dem horizontalen Boden in Abhängigkeit von der verstrichenen Zeit bildet. Es ist bekannt, dass
. Führe folgende Berechnungen durch:
a In welcher Höhe befindet sich die Rakete im Bogenmaß
?
b Wie hoch ist die Geschwindigkeit der Rakete im Bogenmaß
?
Ein Beobachter befindet sich in einer Entfernung von
vom Start eines Raketenturms. Wenn die Rakete senkrecht abhebt, misst sie die Änderung des Winkels
, den die Sichtlinie zwischen der Rakete und dem horizontalen Boden in Abhängigkeit von der verstrichenen Zeit bildet. Es ist bekannt, dass
. Führe folgende Berechnungen durch:
a In welcher Höhe befindet sich die Rakete im Bogenmaß
?


b Wie hoch ist die Geschwindigkeit der Rakete im Bogenmaß
?
Um die Geschwindigkeit zu ermitteln, müssen wir die Ableitung von
berechnen:

Somit

In einen kugelförmigen Ballon wird Gas mit einer Geschwindigkeit von
gepumpt. Der Druck bleibt dabei konstant. Wie schnell ändert sich der Radius des Ballons, wenn der Durchmesser
ist?
Zunächst berechnen wir
. Wenn wir also
und
bestimmen, erhalten wir

Wenn der Durchmesser
ist, misst der Radius
oder
. Wenn wir
einsetzen, erhalten wir die Zeit

Wenn wir
bestimmen und
einsetzen, erhalten wir

Wie hoch ist die Geschwindigkeit eines Fahrzeugs, das sich gemäß der Gleichung
in der 5. Sekunde seiner Fahrt bewegt? Die Entfernung wird in Metern und die Zeit in Sekunden gemessen.
Wie hoch ist die Geschwindigkeit eines Fahrzeugs, das sich gemäß der Gleichung
in der fünften Sekunde seiner Fahrt bewegt? Die Entfernung wird in Metern und die Zeit in Sekunden gemessen.
Die Geschwindigkeit ist durch die Ableitung
gegeben. Um also die Geschwindigkeit in der 5. Sekunde zu ermitteln, müssen wir
berechnen

Mit KI zusammenfassen:
