Ableitung der Exponentialfunktion
Die Ableitung der Exponentialfunktion ist gleich der gleichen Funktion mal dem natürlichen Logarithmus der Basis und mal der Ableitung des Exponenten.
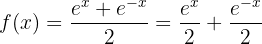
Ableitung der Exponentialfunktion zur Basis e
Die Ableitung der Exponentialfunktion zur Basis e ist gleich der gleichen Funktion mal der Ableitung des Exponenten.
Ableitung von e hoch x
Für den speziellen Fall
gilt, dass
Nach der obigen Formel:
Daraus folgt, dass
Und somit ist die Ableitung von
: 
Aufgaben mit Lösung zur Ableitung

Wir haben eine Funktion der Form
, wobei

Wir müssen nun
ableiten, da wir es für die Formel benötigen. Wir denken daran, dass

Die Ableitung von
ist
und somit lautet die Ableitung des Exponenten 

Die Formel für die Ableitung von Ausdrücken der Art
lautet

Wir setzen ein


Wir haben eine Funktion der Form
, wobei

Wir leiten den Exponenten ab, da wir ihn für die Formel benötigen

Die Formel zur Ableitung von Ausdrücken der Art
lautet

Wir setzen ein


Wir haben eine Funktion der Form 

Wir leiten die Exponenten ab, da wir sie für die Formel benötigen


Die Formel für die Ableitung von Ausdrücken der Art
lautet
. Wir nehmen die notwendigen Substitutionen vo

Und wenn wir keine negativen Exponenten haben möchten:


Wir haben das Produkt der Ausdrücke 


Wir leiten sie ab und beachten dabei, dass es sich beim ersten Ausdruck um eine Exponentialfunktion der Form
und beim zweiten Audsruck um
handelt


Die Formel für die Ableitung eines Produkts aus Funktionen lautet

Wir setzen ein

Wir faktorisieren und vereinfachen


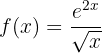
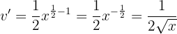
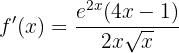
Wir haben den Quotienten der Ausdrücke
, wobei


Wir leiten sie ab und beachten dabei, dass es sich bei dem ersten Ausdruck um eine Exponentialfunktion der Form
und beim zweiten Ausdruck um
handelt


Die Formel für die Ableitung des Quotienten von Funktionen lautet

Wir setzen ein

Wir faktorisieren und vereinfachen


Wir haben eine Funktion der Form
, wobei

Wir leiten
ab

Die Formel für Ausdrücke der Art
lautet

Wir setzen ein


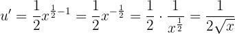
Wir haben eine Funktion der Form
, wobei

Wir leiten
ab, indem wir die Kettenregel anwenden

Die Formel für Ausdrücke der Art
lautet

Wir setzen ein

Dies ist äquivalent zu


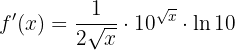
Wir haben eine Funktion der Form
, wobei

Wir leiten
ab

Die Formel für Ausdrücke der Art
lautet

Wir setzen ein

Dies ist äquivalent zu


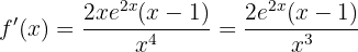
Wir haben das Produkt der Ausdrücke 


Wir leiten sie ab und beachten dabei, dass es sich beim ersten Ausdruck um einen Ausdruck der Form
handelt und der zweite Ausdruck eine Exponentialfunktion
ist


Die Formel für die Ableitung des Produkts aus Funktionen lautet

Wir setzen ein

Wir faktorisieren und vereinfachen


Wir haben den Quotienten der Ausdrücke
, wobei


Wir leiten sie ab und beachten dabei, dass es sich beim ersten Ausdruck um eine Exponentialfunktion der Form
und beim zweiten Ausdruck um
handelt


Die Formel zur Ableitung des Quotienten von Funktionen lautet

Wir setzen ein

Wir addieren im Zähler und vereinfachen


Wir faktorisieren im Zähler

Mit KI zusammenfassen:








