Willkommen in unserem Bereich mit Übungen zur Definition der Ableitung. Die Ableitung ist ein grundlegendes Konzept in der Infinitesimalrechnung und der mathematischen Analyse, das die momentane Änderungsrate einer Funktion an einem bestimmten Punkt beschreibt. Mit anderen Worten, sie stellt dar, wie sich eine Funktion in Reaktion auf infinitesimale Änderungen ihrer unabhängigen Variablen verändert.
Die Ableitung einer Funktion
an einem Punkt
wird üblicherweise mit
bezeichnet. Mathematisch gesehen ist die Ableitung durch den Grenzwert definiert:
Wenn dieser Grenzwert existiert, ist die Funktion im Punkt
ableitbar oder differenzierbar. Geometrisch gesehen stellt die Ableitung an einem Punkt die Steigung der Tangente an den Graphen der Funktion in diesem Punkt dar. Berechne nun anhand der Definition der Ableitung die Ableitung der Funktionen an den angegebenen Punkten.
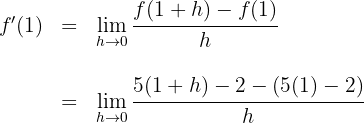
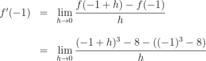
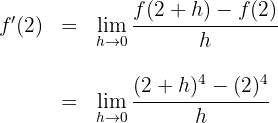
für 
Wir setzen den Wert von
in die Funktion und in die Definition der Ableitung ein:
1

2
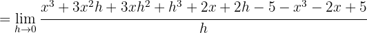
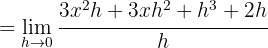
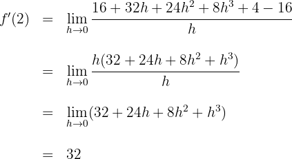
Wir lösen und berechnen den Grenzwert

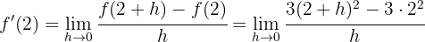
für 
für 
1
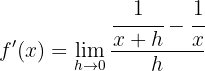
Wir setzen den Wert von
in die Funktion und in die Definition der Ableitung ein:
2
Wir lösen und berechnen den Grenzwert



für 

1
Wir setzen den Wert von
in die Funktion und in die Definition der Ableitung ein:

2
Wir lösen und berechnen den Grenzwert



für
,
und 
für
,
und 
1
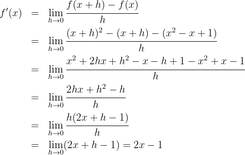
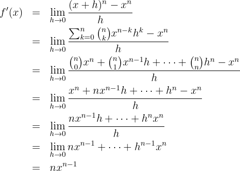
Wir berechnen die Ableitung

2
Wir setzen
,
und
in die Ableitung ein.



für 
für 
1
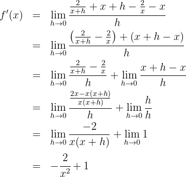
Wir berechnen die Ableitung der Funktion, indem wir die Definition anwenden:


2
Wir setzen
in die Ableitung ein

für 
1
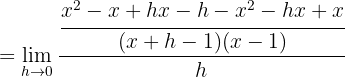
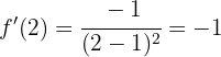
Wir setzen den Wert von
in die Funktion und in die Definition der Ableitung ein:

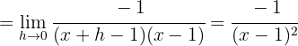
2
Wir lösen und berechnen den Grenzwert

für 
für 
1
Wir berechnen die Ableitung der Funktion:



2
Wir setzen
in die Ableitung ein

für 
für
1
Wir berechnen die Ableitung der Funktion




2
Wir setzen
in die Ableitung ein

für 
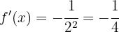
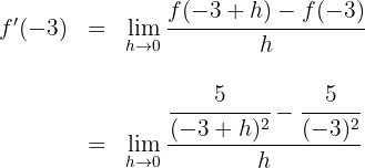
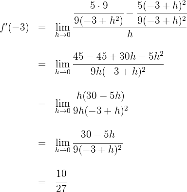
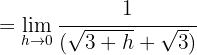
1
Wir setzen den Wert von
in die Funktion und in die Definition der Ableitung ein:

2
Wir lösen und berechnen den Grenzwert

für 
für
Wir setzen den Wert von
ein und lösen den Grenzwert 







für 
1
Wir setzen den Wert von
in die Funktion und in die Definition der Ableitung ein:

2
Wir lösen und berechnen den Grenzwert

für 
für 
1
Wir berechnen die Ableitung der Funktion, indem wir die Definition anwenden



2
Wir setzen
in die Ableitung ein

für 
für 
1
Wir berechnen die Ableitung der Funktion, indem wir die Definition anwenden

2
Wir setzen
in die Ableitung ein

für 
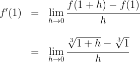
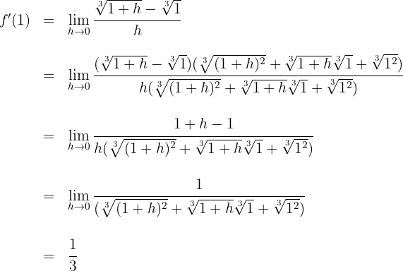
1
Wir setzen den Wert von
in die Funktion und in die Definition der Ableitung ein:

2
Wir lösen und berechnen den Grenzwert

, wenn
, für 
, wenn
, für 
1
Wir berechnen die Ableitung der Funktion

2
Wir setzen
in die Ableitung ein

Mit KI zusammenfassen:
