Wie wird eine Potenz abgeleitet?
Die Ableitung einer Potenzfunktion ist gleich Exponent mal Basis hoch Exponent minus 1, multipliziert mit der Ableitung der Basis
Wenn die Basis die identische Abbildung ist, ist die Ableitung gleich dem Exponenten mal der Basis hoch dem Exponenten minus 1
Aufgaben mit Lösungen
Finde die Ableitung der folgenden Potenzfunktionen

Da die Basis die identische Abbildung ist, ist die Ableitung gleich dem Exponenten mal der Basis hoch dem Exponenten minus 1.


1 Da die Basis die identische Abbildung ist, ist die Ableitung gleich dem Exponenten mal der Basis hoch dem Exponenten minus 1.

2 Wir wenden die Regeln für Exponenten an


1 Wir drücken den Bruch als Potenzfunktion aus

2 Da die Basis die identische Abbildung ist, ist die Ableitung gleich dem Exponenten mal der Basis hoch dem Exponenten minus 1.

3 Wir wenden die Regeln für Exponenten an


1 Wir drücken den Bruch als Potenzfunktion aus

2 Da die Basis die identische Abbildung ist, ist die Ableitung gleich dem Exponenten mal der Basis hoch dem Exponenten minus 1.

3 Wir wenden die Regeln für Exponenten an


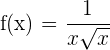
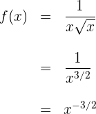
1 Wir drücken den Bruch als Potenzfunktion aus

2 Da die Basis die identische Abbildung ist, ist die Ableitung gleich dem Exponenten mal der Basis hoch dem Exponenten minus 1.

3 Wir wenden die Regeln für Exponenten an


1 Wir drücken die Wurzel als Potenzfunktion aus

2 Da die Basis die identische Abbildung ist, ist die Ableitung gleich dem Exponenten mal der Basis hoch dem Exponenten minus 1.

3 Wir wenden die Regeln für Exponenten an


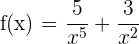
1 Wir drücken den Bruch als Potenzfunktion aus

2 Da die Basis die identische Abbildung ist, ist die Ableitung gleich dem Exponenten mal der Basis hoch dem Exponenten minus 1.

3 Wir wenden die Regeln für Exponenten an und drücken durch Quadratwurzeln aus


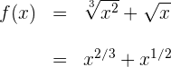
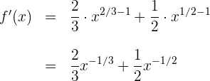
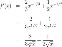
1 Wir schreiben als Potenzfunktion

2 Da die Basis jedes Terms der Summe die identische Abbildung ist, ist die Ableitung gleich der Summe der Ableitungen jedes Terms, die gleich dem Exponenten mal der Basis hoch dem Exponenten minus 1 ist

3 Wir wenden die Regeln für Exponenten an und drücken durch Quadratwurzeln aus


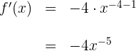
Da die Basis nicht die identische Abbildung ist, ist die Ableitung gleich dem Exponenten mal der Basis hoch dem Exponenten minus 1 und mal der Ableitung der Basis


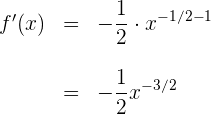
Da die Basis nicht die identische Abbildung ist, ist die Ableitung gleich dem Exponenten mal der Basis hoch dem Exponenten minus 1 und mal der Ableitung der Basis


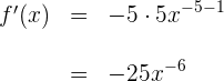
Da die Basis nicht die identische Abbildung ist, ist die Ableitung gleich dem Exponenten mal der Basis hoch dem Exponenten minus 1 und mal der Ableitung der Basis


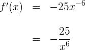
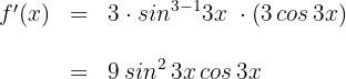
1 Da die Basis nicht die identische Abbildung ist, ist die Ableitung gleich dem Exponenten mal der Basis hoch dem Exponenten minus 1 und mal der Ableitung der Basis

2 Das obige Ergebnis kann in vereinfachter Form unter Verwendung der trigonometrischen Identität ausgedrückt werden


Mit KI zusammenfassen:








