In diesem Abschnitt findest du einige Beispiele für Ableitungen der Exponentialfunktion mit verschiedenen Basen und Exponenten, einschließlich der entsprechenden Verfahren.
Unsere besten verfügbaren Mathematik-Lehrer
Ableitung der Exponentialfunktion
Wenn es sich bei der Funktion um eine Exponentialfunktion zur Basis ungleich
handelt,
mit 
Die Formel ihrer Ableitung lautet:
Ableitung der Exponentialfunktion zur Basis e
Wenn die Funktion eine Exponentialfunktion zur Basis
ist,
Die Formel ihrer Ableitung lautet:
Beispiele für abgeleitete Funktionen
1 Leite folgende Funktion ab: 
Lösung:
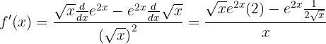
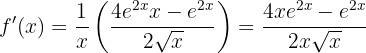
2 Leite folgende Funktion ab: 
Lösung:
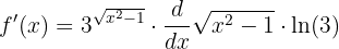
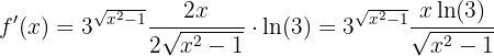
3 Leite folgende Funktion ab: 
Lösung:
4 Leite folgende Funktion ab: 
Lösung:
5 Leite folgende Funktion ab: 
Lösung:
Mit KI zusammenfassen:








