Geometrische Interpretation der Ableitung

Geometrisch ist die Ableitung einer Funktion
an einem Punkt
die Steigung der
Tangente an
, die durch den Punkt
verläuft.
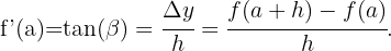
Wir sehen uns die Abbildung an: Wir nehmen die Punkte
und
und verbinden sie durch eine Sekante. Diese Sekante bildet einen Winkel
mit der Horizontalen. Da wir die Steigung der Tangente berechnen möchten, stellen wir fest, dass dieser Wert
ist, wobei
der Winkel zwischen der
-Achse und der Tangente ist.
Wir kehren zum Winkel
zurück, für den gilt:
wobei 

Wenn der Wert
gegen
konvergiert, wird der Punkt
oftmals mit dem Punkt
verwechselt. Dann ist die Sekante tendenziell die Tangente an die Funktion
in
und daher ist der Winkel
tendenziell
.
Daraus folgt, dass
Beispiele
Gegeben ist
. Berechne die Punkte, in denen die Tangente parallel zur Winkelhalbierenden des 1. Quadranten ist.
Die Gleichung der Winkelhalbierenden des ersten Quadranten ist
ihre Steigung ist also
. Da die beiden Geraden parallel sind, haben sie die gleiche Steigung:
Da die Steigung der Tangente an den Graphen gleich der Ableitung im Punkt
ist.
Daraus folgt, dass
und durch Einsetzen in die Funktion erhalten wir den gesuchten Punkt 

Gegeben ist der Graph der Gleichung
. Ermittle die Koordinaten der Punkte auf dieser Kurve, in denen die Tangente mit der x-Achse einen Winkel von
bildet.
Aus der geometrischen Interpretation der Ableitung ergibt sich, dass
Nun bestimmen wir anhand der Formel für die Ableitung den Wert von
Somit ist
und wir setzen schließlich in die Funktion ein. Daraus folgt, dass
und der gesuchte Punkt ist 
Ermittle die Werte des Parameters
so dass die Tangenten an den Graphen der Funktion
an den Punkten
auf der x-Achse parallel sind.
Damit sie parallel sind, müssen die Ableitungen für
und
gleich sein. Die Ableitung der Funktion
ist
Somit:
Letzteres impliziert, dass
oder 
Interpretation der Ableitung in der Physik
Durchschnittsgeschwindigkeit
Die Durchschnittsgeschwindigkeit ist der Quotient aus der zurückgelegten Strecke
und der vergangenen Zeit
Wenn die Strecke durch eine Funktion
bestimmt wird und wir eine verstrichene Zeit
betrachten, erhalten wir folgende Formel für die Durchschnittsgeschwindigkeit: 

Momentangeschwindigkeit
Die Momentangeschwindigkeit ist der Grenzwert der Geschwindigkeit, wenn
gegen 0 konvergiert. Das heißt, die Ableitung der Strecke in Bezug auf die Zeit. 

Beispiele
Das Verhältnis zwischen der von einem Fahrzeug zurückgelegten Strecke in Metern und der Zeit in Sekunden ist
. Berechne:
- Die Durchschnittsgeschwindigkeit zwischen
und 
- Die Momentangeschwindigkeit für

- Die Durchschnittsgeschwindigkeit ist der inkrementelle Quotient auf dem Intervall

- Die Momentangeschwindigkeit ist die Ableitung in

Wie hoch ist die Geschwindigkeit eines Fahrzeugs, das sich gemäß der Gleichung
in der fünften Sekunde seiner Fahrt bewegt?
Die Entfernung wird in Metern und die Zeit in Sekunden gemessen.
Wir müssen nur die Momentangeschwindigkeit zu dem Zeitpunkt
berechnen:

Eine bakterielle Population hat eine Wachstumsrate, die durch die Funktion
gegeben ist, wobei
die in Stunden gemessene Zeit ist. Es wird verlangt:
- Die Durchschnittsgeschwindigkeit der Wachstumsrate.
- Die Momentangeschwindigkeit der Wachstumsrate
- Die Momentangeschwindigkeit der Wachstumsrate für
Stunden.
- Dies wird durch die folgende Formel beschrieben:

- Dies ist durch den folgenden Grenzwert gegeben:


- Wir müssen lediglich die obige Formel in
auswerten. Wir erhalten 
Mit KI zusammenfassen:








