Bei diesen Übungen wird davon ausgegangen, dass du bereits die Definition einer Ungleichung und einige ihrer Eigenschaften kennst. Sollte dies nicht der Fall sein, empfehlen wir dir, dass du dir unseren Artikel zur Theorie ansiehst.
Wir werden jede Aufgabe Schritt für Schritt lösen. Wir sollten beachten, dass das Lösen einer Ungleichung praktisch dasselbe ist wie das Lösen einer Gleichung, nur dass wir jetzt genau auf die Eigenschaften von Ungleichungen achten müssen, wann sie "ihren Sinn ändern", usw. Wir werden jeden Schritt algebraisch darstellen und dabei versuchen, so detailliert wie möglich zu sein.
Finde die Lösung für jede der folgenden Ungleichungen bzw. Ungleichungssysteme und stelle die Lösungsmenge grafisch dar.

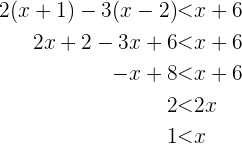
Wir lösen nun die Ungleichung. Wir dürfen nicht vergessen, dass dies dem Lösen einer Gleichung sehr ähnlich ist, nur dass wir jetzt nicht mehr nur einen Wert für unsere Variable bestimmen, sondern einen ganzen Bereich, der oft aus einem Intervall oder aus Vereinigungen oder Überschneidungen von Intervallen besteht. Unsere Ungleichung ist:

Als Erstes wenden wir das Distributivgesetz an und bestimmen danach 

Dies sagt uns, dass
. Die Lösungsmenge ist also das Intervall
.


Wir lösen folgende Ungleichung:

Wir kümmern uns zunächst um die Brüche und bestimmen dann
. Um die Brüche loszuwerden benötigen wir das kleinste gemeinsame Vielfache der Nenner. Dies ist
. Wir erhalten somit

Dies sagt uns, dass
. Die Lösungsmenge ist also das Intervall
.


Wir lösen folgende Ungleichung:

Wir gehen genauso vor, wie im vorherigen Beispiel. Wir wenden das Distributivgesetz an und eliminieren außerdem noch die Brüche

Dies sagt uns, dass
x < \frac{5}{3}[/latex]. Die Lösungsmenge ist also das Intervall [latex]\displaystyle \left( -\infty, \frac{5}{3}\right)[/latex].

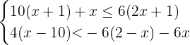
Um dieses System zu lösen, müssen wir die Ungleichungen einzeln lösen. Außerdem müssen wir die Werte bestimmen, für die
beide Gleichungen erfüllt.
Wir beginnen mit der ersten Ungleichung

Aus der ersten Ungleichung erhalten wir
. Somit ist
Teil des Intervalls
. Nun lösen wir die zweite Ungleichung
. Somit ist
Teil des Intervalls
. Wir stellen fest, dass x beide Bedingungen erfüllen muss, also
und
. Man kann auch sagen, dass
zur Schnittmenge der Intervalle
und
gehört. Die Lösungsmenge ist also




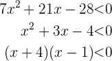
Wir lösen die Aufgabe

Dies sagt uns, dass
. Das Produkt ist jedoch nur dann negativ, wenn die zu multiplizierenden Ausdrücke unterschiedliche Vorzeichen haben. Dies bedeutet, dass es zwei Hauptfälle gibt:
und
sowie
und
.
Wir sehen uns jeden der Fälle an. Wir nehmen an, dass
und somit
. Außerdem haben wir
und somit
. Das heißt,
muss die Bedingungen
und
erfüllen und somit zur Schnittmenge der Intvervalle
und
gehören. Wir stellen fest, dass die Schnittmenge leer ist; die besagten Intervalle schneiden sich nicht. Somit haben wir in diesem Fall keine Lösung.
Nun sehen wir uns den zweiten Fall an. Wir nehmen an, dass
und somit
. Außerdem haben wir
und somit
. Das heißt,
muss die Bedingungen
und
erfüllen und somit zur Schnittmenge der Intervalle
und
gehören. Die Schnittmenge ist
und dieses Intervall ist somit das gesuchte Intervall.


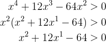
Wir lösen unsere Ungleichung

Wir beginnen mit dem Lösen der Aufgabe

Um
als Produkt von Ausdrücken 1. Grades auszudrücken, müssen wir die Nullstellen bestimmen und wenden dafür die Mitternachtsformel an

Da unter der Wurzel jedoch eine negative Zahl steht, sind die Nullstellen des Polynoms komplexe Zahlen. Weil wir das Polynom also nicht als Ausdruck mit reellen Zahlen schreiben können, setzen wir zur Lösung für
eine reelle Zahl ein. Wenn die Ungleichung erfüllt ist, sind die reellen Zahlen
die Lösungsmenge. Wenn die Ungleichung nicht erfüllt ist, gibt es keine Lösung. Wir setzen ein: 

Da
, ist die Lösungsmenge
.

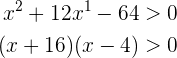
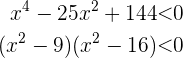
Die gegebene Ungleichung ist

Wir lösen

Am Ende wird durch
dividiert, denn da der Ausdruck positiv ist, ist es unmöglich, dass
. Somit gilt
. Nun berechnen wir die Nullstellen von
und schreiben unsere Ungleichung als

Wir haben
. Das Produkt ist jedoch nur dann positiv, wenn die zu multiplizierenden Ausdrücke das gleiche Vorzeichen haben. Dies bedeutet, dass es zwei Hauptfälle gibt:
und
sowie
und
.
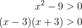
Wir sehen uns jeden der Fälle an und beginnen mit dem ersten Fall. Wir nehmen an, dass
und somit
sowie
und somit
. Für
muss also
und
gelten und es muss zur Schnittmenge der Intervalle
und
gehören. Die Schnittmenge ist
und somit eine Lösung.
Nun sehen wir uns den zweiten Fall an. Wir nehmen an, dass
und somit
sowie
und somit
. Für
muss also
und
gelten und es muss zur Schnittmenge der Intervalle
und
gehören. Die Schnittmenge ist
und das Intervall ist somit auch eine Lösung.
Unsere endgültige Lösung ist also die Vereinigung der beiden gefundenen Einzellösungen, also
.



Wir lösen

Dies sagt uns, dass
. Das Produkt ist jedoch nur dann negativ, wenn die zu multiplizierenden Ausdrücke unterschiedliche Vorzeichen haben. Wir haben also zwei Hauptfälle:
und
sowie
und
.
Wir sehen uns jeden der Fälle an und beginnen mit dem ersten Fall. Wir gehen davon aus, dass wir das Polynom 2. Grades
zunächst als Produkt von Ausdrücken vom Grad 1 ausdrücken müssen. Somit

Damit dies positiv ist, müssen
und
dasselbe Vorzeichen haben, also beide positiv oder beide negativ sein. Wenn beide negativ sind, gilt für
, dass
und für
gilt, dass
. Man kann auch sagen, dass
zur Schnittmenge der Intervalle
und
gehört, die
ist.
Nun gehen wir davon aus, dass
und
positiv sind. Für
gilt
und für
gilt
. Man kann auch sagen, dass
zur Schnittmenge der Intervalle
und
gehört, die
ist.
Damit
erfüllt ist, muss
zur Vereinigung der zwei vorher ermittelten Intervalle gehören.
gehört also zu
.
Da wir davon ausgehen, dass
, folgt auch, dass
. Wir müssen dieses Polynom also als Produkt von Ausdrücken 1. Grades schreiben

Damit dies negativ ist, müssen
und
unterschiedliche Vorzeichen haben. Wenn wir annehmen, dass
und
gilt jeweils
und
. Das bedeutet, dass
zur Schnittmenge der Intervalle
und
gehört, die
ist.
Nun nehmen wir an, dass
und
. Es muss also jeweils
und
gelten. Das heißt, dass
zur Schnittmenge der Intervalle
und
gehört, die leer ist. Die einzige Möglichkeit, dass
ist, dass
zum Intervall
gehört.
All dies zeigt uns: Damit
und
erfüllt ist, muss
zur Schnittmenge der ermittelten Lösungsmengen
und
gehören, die
ist.
Wir fahren mit unserer zweiten ursprünglichen Annahme fort, nämlich
und
. Wir nehmen an, dass
und müssen dieses Polynom 2. Grades in ein Produkt von Ausdrücken vom Grad 1 umwandeln

Damit dies negativ ist, müssen
und
unterschiedliche Vorzeichen haben. Für
und
muss jeweils
und
gelten. Das heißt, dass
zur Schnittmenge der Intervalle
und
gehören muss, die
ist.
Nun muss für
und
jeweils
und
gelten. Das heißt, dass
zur Schnittmenge der Intervalle
und
ghören muss, die leer ist. Die einzige Möglichkeit für
ist, dass
zum Intervall
gehört
Außerdem haben wir
und müssen dieses Polynom vom Grad 2 in ein Produkt von Ausdrücken vom Grad 1 umwandeln

Damit dies positiv ist, müssen
und
das gleiche Vorzeichen haben. Beide müssen also positiv oder negativ sein. Wenn beide negativ sind, muss für
gelten, dass
. Für
muss gelten, dass
. Das heißt, dass
zur Schnittmenge der Intervalle
und
gehören muss, die
ist.
Nun nehmen wir an, dass
und
positiv sind. Für
muss gelten, dass
und für
muss gelten, dass
. Das heißt, dass
zur Schnittmenge der Intervalle
und
gehören muss, die
ist.
Damit also
erfüllt ist, muss
zur Vereinigung der beiden vorher ermittelten Intervalle gehören. Also gehört
zu
.
Und damit
und
erfüllt sind, muss
zur Schnittmenge der vorher ermittelten Lösungsmengen
und
gehören, die leer ist.
Unsere endgültige Lösung wäre die Vereinigung der beiden Lösungen für jeden Fall. Da die letzte Lösung jedoch leer ist, ist die endgültige Lösungsmenge
.


Wir lösen folgende Ungleichung:

Wir formen um

Damit der Bruch gleich null ist, muss der Zähler null sein. Also
und somit
.
Damit der Bruch negativ ist, müssen der Zähler und der Nenner unterschiedliche Vorzeichen haben. Zunächst nehmen wir an, dass der Zähler positiv ist und der Nenner negativ. Für
bedeutet das
und für
bedeutet das
. Also muss
zur Schnittmenge der Intervalle
und
gehören, die
ist.
Nun nehmen wir an, dass der Zähler negativ ist und der Nenner positiv. Für
bedeutet das
und für
bedeutet das
. Also muss
zur Schnittmenge der Intervalle
und
gehören, die
ist.
Aus all dem können wir ableiten, dass, damit
erfüllt ist,
zur Vereinigung der beiden ermittelten Intervalle und dem Punkt
gehören muss. Die Lösungsmenge ist also 

Mit KI zusammenfassen:
