Eine gebrochene Ungleichung ist eine Ungleichung, bei der die Unbekannte sowohl im Nenner als auch im Zähler steht. Im Allgemeinen haben die gebrochenen Ungleichungen eine der folgenden Formen
1 
2 
3 
4 
Du erfährst in den ersten beiden Fällen, wie du vorgehen musst. Die Schritte sind einfach: Du musst die Werte von
im Zähler und im Nenner finden, für die die Ungleichung erfüllt ist, wobei du in der Regel Schnittpunkte und Vereinigungen der Intervalle verwendest.
Erster wichtiger Fall
Beginne mit
.
1 Zunächst musst du die Werte finden, für die
ist. Dazu findest du die Werte von
für die der Zähler gleich Null ist, d. h. du löst
. Bezeichne die Menge der Werte, für die
als
.
2 Du weißt, dass
ist, da du bereits die Werte gefunden hast, konzentriere dich jetzt nur auf
.
Es gibt zwei Fälle, in denen
ist. Das ist immer dann der Fall, wenn die Nenner
und
entgegengesetzte Vorzeichen haben.
Dein erster Fall ist also
und
. Die Menge der Werte, für die
ist
, und die Menge der Werte, für die
als
, dann ist die Lösungsmenge, für die beide Ungleichungen
und
erfüllt sind, die Schnittmenge
. Beachte, dass du
und nicht
verwendest, da
der Nenner ist und nicht gleich Null sein kann.
Dein zweiter Fall ist
und
. Die Menge der Werte, für die
ist
, und die Menge der Werte, für die
als
, dann ist die Lösungsmenge, für die beide Ungleichungen
und
erfüllt sind, die Schnittmenge
. Beachte, dass du
und nicht
nimmst, da
der Nenner ist und nicht gleich Null sein kann.
3 Die Lösungsmenge ist die Vereinigung der Mengen
,
und
, d.h.

Für den Fall
ist es ähnlich, konzentriere dich aber nur auf den zweiten und dritten Punkt.
Zweiter wichtiger Fall
Betrachte nun den Fall, dass 
1 Zunächst musst du die Werte finden, für die
ist. Dazu findest du die Werte von
für die der Zähler gleich Null ist, d. h. du löst
. Bezeichne die Menge der Werte, für die
ist, als
.
2 Du weißt, dass
, da du bereits die Werte gefunden hast, wenn sie gleich Null ist, konzentriere dich jetzt nur auf
.
Es gibt zwei Fälle, in denen
, ist. Dies ist immer dann der Fall, wenn der Nenner
und
gleiche Vorzeichen haben.
Dein erster Fall ist also
und
. Die Menge der Werte, für die
ist
, und die Menge der Werte, für die
ist
, dann ist die Lösungsmenge, für die beide Ungleichungen
y
erfüllt sind, die Schnittmenge
. Beachte, dass du
und nicht
nimmst, da
der Nenner ist und nicht gleich Null sein kann.
Dein zweiter Fall ist
und
. Die Menge der Werte, für die
ist
, und die Menge der Werte, für die
als
, dann ist die Lösungsmenge, für die beide Ungleichungen
und
erfüllt sind, die Schnittmenge
. Beachte, dass du
und nicht
verwendest, da
der Nenner ist und nicht gleich Null sein kann.
3 Die Lösungsmenge ist die Vereinigung der Mengen
,
und
, d.h.

Für den Fall
ist es ähnlich, konzentriere dich aber nur auf den zweiten und dritten Punkt.
Beispiele
Normalerweise handelt es sich bei diesen Übungen
und
um Monome oder Produkte von Monomen. Anhand der folgenden Beispiele kannst du dir ein genaues Bild von dem Verfahren machen:
Löse die unten stehende Gleichung:

In diesem Fall ist
und
.
Beginne mit der Analyse, wann

Dazu musst du herausfinden, wann
, oder
, ist, was eindeutig bei
. der Fall ist. Deine erste Menge ist also
. Analysiere nun, wann

Du weißt bereits, dass es dafür zwei Fälle gibt, nämlich wenn der Nenner und der Zähler entgegengesetzte Vorzeichen haben. Beginne mit dem ersten Fall
1
und
.
Du weißt bereits, dass dies gleichbedeutend ist mit
und
. Aus der ersten Ungleichung ergibt sich

daraus folgt, dass die Lösungsmenge dieser Ungleichung
ist. Aus der zweiten ergibt sich

daraus folgt, dass die Lösungsmenge dieser Ungleichung
ist. Die Lösungsmenge für diesen Fall ist also die Schnittmenge, die lautet

2
und
.
Du weißt bereits, dass dies gleichbedeutend ist mit
und
. Aus der ersten Ungleichung ergibt sich

daraus folgt, dass die Lösungsmenge dieser Ungleichung
ist. Aus der zweiten ergibt sich

daraus folgt, dass die Lösungsmenge dieser Ungleichung
ist. Die Lösungsmenge für diesen Fall ist also die Schnittmenge, die lautet

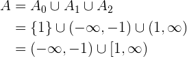
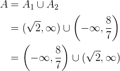
Schließlich ergibt sich, dass die allgemeine Lösung unserer Ungleichung die Vereinigung unserer drei Lösungen
,
und
ist, d. h.

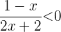
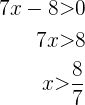
Löse die unten stehende Ungleichung

In diesem Fall ist
und
. Da sie hier strikt größer ist, ist es dir egal, wann der Bruch gleich Null ist, so dass du direkt zur Analyse der Ungleichung übergehst. Dabei gibt es zwei Fälle, nämlich wenn die Ziffern und der Nenner das gleiche Vorzeichen haben. Beginne mit dem ersten Fall
1
und
.
Du weißt bereits, dass dies gleichbedeutend ist mit
und
. Aus der ersten Ungleichung ergibt sich

daraus folgt, dass die Lösungsmenge dieser Ungleichung
ist. Aus der zweiten ergibt sich

daraus folgt, dass die Lösungsmenge dieser Ungleichung
ist. Die Lösungsmenge für diesen Fall ist also die Schnittmenge, die lautet

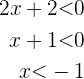
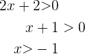
2
und
.
Du weißt bereits, dass dies gleichbedeutend ist mit
und
. Aus der ersten Ungleichung ergibt sich

daraus folgt, dass die Lösungsmenge dieser Ungleichung
ist. Aus der zweiten ergibt sich

daraus folgt, dass die Lösungsmenge dieser Ungleichung
ist. Die Lösungsmenge für diesen Fall ist also die Schnittmenge, die lautet

Schließlich ergibt sich, dass die allgemeine Lösung unserer Ungleichung die Vereinigung der beiden Lösungen
und
ist, d. h.

Löse die unten stehende Ungleichung:

In diesem Fall ist
und
.
Beginne mit der Analyse, wann

Dazu musst du herausfinden, wann
oder
ist, was eindeutig bei
der Fall ist. Deine erste Menge ist also
. Analysiere nun, wann

Du weißt bereits, dass es dafür zwei Fälle gibt, nämlich wenn Zähler und Nenner entgegengesetzte Vorzeichen haben. Beginne mit dem ersten Fall
1
y
.
Beachte, dass verlangt wird, dass
, was gleichbedeutend ist mit

Allerdings ist
für alle
, so dass die obige Frage lautet

was zu
, führt, was niemals passieren kann. Daraus ergibt sich, dass die Bedingung
in diesem Fall nicht erfüllt sein kann,

2
y
.
Du weißt bereits, dass dies gleichbedeutend ist mit
und
. Aus der ersten Ungleichung ergibt sich

daraus folgt, dass die Lösungsmenge dieser Ungleichung
ist. Aus der zweiten ergibt sich, dass
für alle
erfüllt ist, woraus folgt, dass die Lösungsmenge dieser Ungleichung
. Die Lösungsmenge für diesen Fall ist also die Schnittmenge, die lautet

Schließlich ergibt sich, dass die allgemeine Lösung unserer Ungleichung die Vereinigung unserer drei Lösungen
,
und
, ist, d. h.

Mit KI zusammenfassen:
