Schritte zum Lösen von quadratischen Ungleichungen
Merke dir als erstes bestimmte Eigenschaften von quadratischen Gleichungen, die mit der Art ihrer Lösungen zusammenhängen:
Du kannst schon im Vorhinein wissen, welche Art von Lösungen eine quadratische Gleichung haben wird
wenn du das Vorzeichen seiner Diskriminante kennst
.
wobei es drei mögliche Fälle gibt:
- Wenn
, dann gibt es zwei verschiedene reale Lösungen - Wenn
, dann gibt es nur eine echte Lösung mit Zwei als Vielfachem - Wenn
, dann gibt es keine echte Lösung
Diese Informationen sind nützlich, da sie es dir ermöglichen, ein sehr einfaches Verfahren zur Lösung von quadratischen Ungleichungen durchzuführen.
Es ist auch wichtig zu wissen, dass die Lösung der Ungleichung im Allgemeinen aus den folgenden Schritten besteht:
- Finde die Lösungen der Gleichung
- Lokalisiere sie auf der Zahlengeraden und identifiziere die erzeugten Abschnitte
- Schaue dir das Vorzeichen des Polynoms in jedem der erzeugten Abschnitte an
- Suche die Lösung der Ungleichung
Und wenn die Gleichung keine reelle Lösung hat, wird sie nicht in die reelle Linie geschnitten, sondern es wird auch nach dem Vorzeichen des Polynoms gesucht, und das Verfahren ist analog.
Je nach Vorzeichen der Diskriminante wird dann ein bestimmtes Verfahren angewandt, das in drei Fälle unterteilt wird.
Erster Fall: 
Löse die Ungleichung: 
Zuerst musst du das Vorzeichen der Diskriminante kennen
Dies bedeutet, dass es zwei verschiedene reelle Lösungen der Gleichung (oder Wurzeln des Polynoms) gibt, und so geht es weiter:
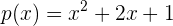
1 Finde die Lösungen der Gleichung
Setze das Polynom
mit Null gleich
Faktorisiere 
Die Lösungen lauten daher:
y 
Du merkst, dass die Lösungen verschiedene reelle Wurzeln sind, weil die Diskriminante größer als Null ist.
2 Lokalisiere sie auf der Zahlengeraden und identifiziere die erzeugten Abschnitte.
Lege zunächst die erhaltenen Werte auf den Zahlengeraden fest und zeichne zwei leere Kreise darüber. So kannst du geometrisch darstellen, dass die Gleichheit mit Null in der Ungleichung nicht erlaubt ist, und du merkst auch, dass drei Bereiche entstehen

Der Grund dafür ist der folgende:
Wenn
, dann ergibt das Polynom, das an den Lösungen bewertet wird, Null
und andererseits lässt die Ungleichung
die streng größer als Null ist, keine
]-Werte zu, die bei der Auswertung im Polynom eine Null ergeben. In diesem Fall sind es genau
y
.
Aus diesem Grund werden die leeren Kreise gezeichnet, um die Werte, die die Ungleichung nicht zulässt, zu entfernen und sie nur als Referenz zu nehmen.
Andernfalls, wenn die Ungleichung mit Null akzeptiert wird, werden gefüllte Kreise platziert.
3 Schaue dir das Vorzeichen des Polynoms in jedem der erzeugten Abschnitte an. Wie du im vorigen Schritt gesehen hast, wurden drei Abschnitte erzeugt. Wähle also für jeden von ihnen einen ihrer Werte aus und werte ihn im Polynom aus, um sein Vorzeichen zu erfahren:
- Für
, kannst du
wählen und es im Polynom
, auswerten, was einen negativen Wert ergibt. - Para
, podemos seleccionar
y evaluarlo en el polinomio
, resultando un valor negativo. - Für
, kannst du
wählen und es im Polynom
, auswerten, was einen positiven Wert ergibt.
Dies bedeutet, dass
- Für jedes Element
, hat das Polynom
immer positive Werte - Für jedes Element
, hat das Polynom
immer negative Werte - Für jedes Element
, hat das Polynom
immer positive Werte

4 Finde die Lösung der Ungleichung
Mit den Informationen, die du bisher gewonnen hast, kannst du nun die Lösung der Ungleichung finden
d. h. Werte innerhalb der Zahlengeraden, die, wenn sie im Polynom
ausgewertet werden, ein positives Endergebnis ergeben müssen, das auch nicht Null ist. Dann brauchst du nur noch die Bereiche zu suchen, die die Bedingung erfüllen
Mit anderen Worten, die Lösung lautet:
Mögliche Varianten
1 Wenn die Gleichung
, lautete, würden Werte zugelassen werden, die bei der Auswertung im Polynom das Ergebnis Null sind, weshalb du zwei und vier einbeziehst, dann wäre die Lösung:
2 Wenn die Gleichung
wäre, würde die Lösung lauten:
3 Wäre die Gleichung
, wäre die Lösung:
Zweiter Fall: 
Löse die Ungleichung: 
Nun musst du das Vorzeichen der Diskriminante kennen
bedeutet, dass es nur eine wirkliche Lösung gibt, also macht du weiter:
1 Finde die Lösung der Gleichung

Wenn du
, faktorisierst, stellst du fest, dass die Lösung
ist
2 Lokalisiere sie auf der Zahlengeraden und identifiziere die erzeugten Abschnitte
Da du bereits eine Lösung hast, werden in diesem Fall zwei Abschnitte auf der Zahlengeraden erzeugt
y 
3 Schaue dir das Vorzeichen des Polynoms in jedem der erzeugten Abschnitte an
In diesem Fall genügt es, das Vorzeichen des Polynoms
an einem der Punkte in einem der beiden Abschnitte zu kennen, da es für beide das gleiche Ergebnis ist.
Wenn
dann
, was ein positives Ergebnis ist:
- Wenn
dann 
- Wenn
, dann
4 Finde die Lösung der Ungleichung
Wie du dich erinnerst, ist die Ungleichung
als Lösung Werte der reellen Linie
hat, so dass bei der Auswertung des Polynoms
das Endergebnis eine Zahl größer oder gleich Null ist, bedeutet dies, dass unsere Lösung aufgrund der erhaltenen Informationen
Mögliche Varianten
| Ungleichung | Faktorisierung | Lösung |
|---|---|---|
![]() | ![]() | ![]() |
![]() | ![]() | ![]() |
![]() | ![]() | ![]() |
![]() | ![]() | ![]() |
Dritter Fall: 
Löse die Ungleichung: 
Nun musst du das Vorzeichen der Diskriminante kennen
Dies bedeutet, dass es keine wirkliche Lösung gibt, d. h., dass jetzt keine Abschnitte erzeugt werden, und dann machst du weiter:
1 Wähle einen beliebigen reellen Wert und werte ihn im Polynom aus, um das Vorzeichen zu erfahren.
Wähle
und werte es im Polynom aus
daraus ergibt sich
, was ein positiver Wert ist.
Daraus ergibt sich, dass für alle
das Polynom
immer positiv ist.
2 Finde die Lösung der Ungleichung
Da du nach der Lösung der Ungleichung
suchst und bereits weißt, dass jede reelle Zahl
, die zur Berechnung von
verwendet wird, immer eine positive Zahl ergibt, ist jede reelle Zahl eine Lösung der Ungleichung.
Wenn in diesem Fall die Ungleichung
wäre, dann ist die Lösung ungültig, da es keine reelle Zahl
gibt, die bei der Berechnung von
nichts negatives ergeben würde. Dies wird aber in der Ungleichung verlangt.
Mögliche Varianten
| Lösung | |
|---|---|
![]() | ![]() |
![]() | ![]() |
![]() | ![]() |
![]() | ![]() |
Schritte zur Lösung rationaler Ungleichungen
Rationale Ungleichungen werden in ähnlicher Weise gelöst wie quadratische Ungleichungen, aber es ist zu beachten, dass der Nenner nicht Null sein kann.
Löse die Ungleichung:
1 Finde die Wurzeln des Zählers und des Nenners.
2 Stelle diese Werte auf der Zahlengeraden dar und beachte, dass die Wurzeln des Nenners unabhängig vom Vorzeichen der Ungleichung offen sein müssen, damit der Nenner nicht aufgehoben werden kann.

3 Nimm einen Punkt in jedem Intervall und bewerte das Vorzeichen in jedem Intervall
Berücksichtige:
Nun wertest du an irgendeinem Punkt in jedem der erzeugten Intervalle aus, wobei du berücksichtigst, dass du nicht bei
auswerten kannst, weil der Bruch dort unbestimmt ist, und daran denkst, dass 
- Wenn du
aus dem Intervall
, nimmst, hast du
was ein positiver Wert ist
- Wenn du
aus dem Intervall
nimmst, ergibt sich Folgendes
was ein negativer Wert ist
- Wenn du
aus dem Intervall
nimmst, ergibt sich Folgendes
was ein positiver Wert ist

4 Die Lösung setzt sich aus den Intervallen (oder einem Intervall) zusammen, die das gleiche Vorzeichen wie das Polynom haben.
Mit dieser Information kannst du nun die Lösung finden, indem du die Intervalle nimmst, die das gleiche Vorzeichen wie die rationale Ungleichung haben, d.h. positiv und gleich Null sind:
Die 4 ist offen, weil sie eine Wurzel aus dem Nenner ist und der Nenner nicht Null sein kann
Mögliche Varianten
1 Wäre die Gleichung

Wäre die Lösung:
2 Wäre die Gleichung

Wäre die Lösung:
3 Wäre die Gleichung

Wäre die Lösung:
Beispiel für eine gelöste Ungleichung
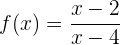
Löse die Ungleichung:
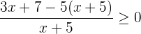
1 Bringe die 5 auf die andere Seite und berechne den Bruch
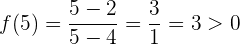
2 Finde die Wurzeln des Zählers und des Nenners

3 Bewerte, um das Vorzeichen in jedem Bereich zu kennen, und schlage einen repräsentativen Wert für jede dieser Bereiche vor:
- Wenn du
aus dem Intervall
nimmst, hast du
was ein negativer Wert ist
- Wenn du
aus dem Intervall
nimmst, ergibt sich Folgendes
was ein positiver Wert ist
- Wenn du
aus dem Intervall
nimmst, ergibt sich Folgendes
was ein negativer Wert ist
4 Die Lösung ergibt sich, indem du die Intervalle auswählst, die das gleiche Vorzeichen wie die vorgeschlagene Ungleichung haben, d. h. größer oder gleich Null sind

Mit KI zusammenfassen:























