Löse die folgenden Ungleichungen

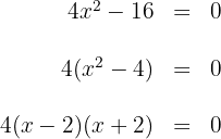
1 Wir ersetzen die Ungleichung durch eine Gleichung und faktorisieren sie. Dadurch erhalten wir die Wurzeln der quadratischen Gleichung.

Setzen wir die Faktoren gleich Null, erhalten wir die Wurzeln
y 
2 Die Wurzeln unterteilen die reelle Gerade in drei Intervalle: 
Die Extrempunkte sind außerhalb der Intervalle, weil sie nicht zur Lösung gehören, da diese nicht größer als oder gleich ist

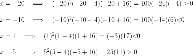
3 Wir nehmen die jeweiligen Intervalle und setzen sie in die Ungleichung ein


4 Die Lösung besteht aus den Intervallen (oder dem Intervall), die das gleiche Vorzeichen wie das Polynom haben.
Die Intervalle sind offen, weil 2 und 4 nicht in der Lösung enthalten sind.
Die Lösung lautet also 

1 Wir ersetzen die Ungleichung durch eine Gleichung und faktorisieren sie. Dadurch erhalten wir die Wurzeln der quadratischen Gleichung.

Setzen wir die Faktoren gleich Null, erhalten wir die Wurzel 
2 Da eine quadratische Zahl immer positiv ist, lautet die Lösung 

1 Wir ersetzen die Ungleichung durch eine Gleichung und lösen sie

Das Polynom kann nicht mit elementaren Methoden faktorisiert werden. Daher untersuchen wir seine Diskriminante

Da die Diskriminante negativ ist, hat sie keine reelle Wurzel. Wir geben dem Polynom einen beliebigen Wert. Zum Beispiel 

2 Da die Ungleichung erfüllt ist, lautet die Lösung 

1 Wir ersetzen die Ungleichung durch eine Gleichung, faktorisieren sie und erhalten die Wurzeln der quadratischen Gleichung.

Setzen wir die Faktoren gleich Null, erhalten wir die Wurzeln
und 
2 Die Wurzeln unterteilen die reelle Gerade in drei Intervalle: 
Die Wurzeln gehören nicht zur Lösung, da diese nicht kleiner als oder gleich ist.
3 Wir nehmen jedes Intervall und setzen es in die Ungleichung ein


4 Die Lösung setzt sich aus den Intervallen (oder dem Intervall) zusammen,
die das gleiche Vorzeichen wie das Polynom haben.
Die Intervalle sind offen, weil -4 und 1 nicht in der Lösung enthalten sind.
Die Lösung ist also 

1 Wir ersetzen die Ungleichung durch eine Gleichung und lösen sie

Das Polynom kann nicht mit elementaren Methoden faktorisiert werden, daher untersuchen wir seine Diskriminante

Da die Diskriminante negativ ist, hat sie keine reellen Wurzeln. Wir geben dem Polynom einen beliebigen Wert. Zum Beispiel 

2 Da die Ungleichung erfüllt ist, lautet die Lösung 
Wäre die Ungleichung nicht erfüllt, hätte sie keine Lösung.

1 Wir bestimmen die kritischen Werte der Ungleichung
Hierfür ersetzen wir die Ungleichung mit einer Gleichung und faktorisieren

Setzen wir den Faktor mit Null gleich, erhalten wir die Wurzeln
. Diese Wurzeln sind Lösungen. Denn durch ihren Einsatz in der Ungleichung erfüllen sie die Gleichung
2 Wir stellen die kritischen Werte auf der Zahlengerade dar
Da die Wurzeln
y
sind, wird die reelle Linie in die Intervalle
und
eingeteilt
3 Wir nehmen die Werte
und
und setzen sie in die Ungleichung ein


4 Da der quadratische Ausdruck negativ ist, ist die Lösung die Summe der Intervalle: 

1 Wir bestimmen die kritischen Werte der Ungleichung
Hierfür ersetzen wir die Ungleichung mit einer Gleichung und faktorisieren

Setzen wir den Faktor mit Null gleich, erhalten wir die Wurzel 
2 Da das Binomialquadrat negativ ist und das Vorzeichen kleiner als oder gleich ist, hat die Ungleichung nur eine Lösung: 

1 Wir bestimmen die kritischen Werte der Ungleichung
Hierfür tauschen wir die Ungleichung in eine Gleichung und faktorisieren

Durch das Gleichsetzen der Faktoren mit Null erhalten wir die Wurzeln
. Diese Wurzeln sind Lösungen. Denn durch ihren Einsatz in der Ungleichung erfüllen sie die Gleichung
2Wir stellen die kritischen Werte auf der Zahlengerade dar
Da die Wurzeln
und
sind, wird die reelle Linie in die Intervalle
und
eingeteilt
3 Wir nehmen die Werte
und
und setzen sie in die Ungleichung ein


4 Da der quadratische Ausdruck positiv oder Null ist, ist die Lösung die Summe der Intervalle
und der kritischen Werte. Die Lösung ist also 

1 Wir bestimmen die kritischen Werte der Ungleichung
Hierfür tauschen wir die Ungleichung in eine Gleichung und faktorisieren

Durch das Gleichsetzen der Faktoren mit Null erhalten wir die Wurzeln
.
2 Wir stellen die kritischen Werte auf der Zahlengerade dar
Da die Wurzeln
sind, wird die reelle Gerade in die Intervalle
und 
3 Wir nehmen die Werte
und
und setzen sie in die Ungleichung ein


4 Da der quadratische Ausdruck negativ ist, ist die Lösung die Summe der Intervalle 

1 Wir bestimmen die kritischen Werte der Ungleichung
Hierfür tauschen wir die Ungleichung in eine Gleichung und faktorisieren

Da das Binom
für jeden Wert von
immer größer als Null ist, werden zur Berechnung der kritischen Werte nur lineare Binome berücksichtigt. Die gesuchten Wurzeln sind also
. Diese Wurzeln sind Lösungen. Denn durch ihren Einsatz in der Ungleichung erfüllen sie die Gleichung.
2 Wir stellen die kritischen Werte auf der Zahlengerade dar
Da die Wurzeln
sind, wird die reelle Linie in die Intervalle
und
eingeteilt
3 Wir nehmen die Werte
und
und setzen sie in die Ungleichung ein


4 Da der quadratische Ausdruck positiv oder Null ist, ist die Lösung die Summe der Intervalle und der kritischen Werte, d.h. 
Mit KI zusammenfassen:
