Zunächst einmal die Definition einer Ungleichung:
Eine Ungleichung beschreibt zwei Terme, die ungleich zueinander sind. Außerdem enthält eine Ungleichung Variablen. Wenn wir eine Ungleichung lösen, erhalten wir diejenigen Werte unserer Variablen, für die die Ungleichung wahr ist.
Zwei Ungleichungen mit zwei Variablen

1 Wir stellen den Lösungsbereich der ersten Ungleichung dar.
2 Wir formen die Ungleichung in eine Gleichung um

3 Einer der beiden Variablen weisen wir zwei Werte zu und setzen diese in die vorhergehende Gleichung ein. Somit erhalten wir zwei Punkte 


4 Wenn wir die beiden Punkte einzeichnen und miteinander verbinden, erhalten wir eine Gerade

5 Wir nehmen einen beliebigen Punkt, zum Beispiel
und setzen ihn in die Ungleichung ein. Wenn sie aufgeht, erhalten wir als Lösung die Halbebene, an der sich der Punkt befindet. Wenn sie nicht aufgeht, erhalten wir als Lösung die andere Halbebene.

Da die Aussage wahr ist, ist die Lösung die Halbebene, in der sich Punkt
befindet, einschließlich der Geraden.

6 Wir stellen den Lösungsbereich der zweiten Ungleichung dar.
7 Wir formen die Ungleichung in eine Gleichung um

8 Wir weisen einer der beiden Variablen zwei Werte zu und erhalten so zwei Punkte 


9 Wenn wir die beiden Punkte einzeichnen und miteinander verbinden, erhalten wir eine Gerade

10 Wir setzen den Punkt
in die Ungleichung ein, um zu überprüfen, ob die Aussage wahr ist

Da die Aussage falsch ist, ist die Lösung die Halbebene ohne den Punkt
, da er sich außerhalb der Halbebene befindet, einschließlich der Geraden.

11 Die Lösung für das Ungleichungssystem ist der Bereich, in dem sich die zwei Lösungsbereiche überschneiden.

Zwei Ungleichungen mit zwei Variablen


1 Wir formen die Ungleichungen in Gleichungen um

2 Wir zeichnen die zwei Geraden im Koordinatensystem ein.
Da
, ist die Lösung der Bereich, der rechts von der Geraden
liegt, einschließlich der Geraden.
Da
, ist die Lösung der Bereich, der oberhalb der Geraden
liegt, einschließlich der Geraden.
3 Die Lösung für das Ungleichungssystem ist der Bereich, in dem sich die beiden Lösungsbereiche überschneiden

Zwei Ungleichungen mit zwei Variablen


1 Wir stellen den Lösungsbereich der ersten Ungleichung dar.
1 Wir formen die Ungleichung in eine Gleichung um

2 Wir setzen zwei Werte der Variablen
in die vorhergehende Gleichung ein, wodurch wir zwei Punkte
erhalten


3 Wenn wir die Punkte einzeichnen und miteinander verbinden, erhalten wir eine Gerade.
4 Wir nehmen einen beliebigen Punkt, der sich nicht auf der Geraden befindet, zum Beispiel
und setzen ihn in die Ungleichung ein. Wenn die Aussage wahr ist, ist die Lösung die Halbebene, in der sich der Punkt befindet. Wenn nicht, ist die Lösung die andere Halbebene.

Da die Aussage wahr ist, ist die Lösung die Halbebene, in der sich der Punkt
befindet, einschließlich der Geraden.

2 Wir stellen den Lösungsbereich der zweiten Ungleichung dar.
1 Wir formen die Ungleichung in eine Gleichung um

2 Wir ersetzen zwei Werte der Variablen
in der vorhergehenden Gleichung, wodurch wir zwei Punkte
erhalten


3 Wir nehmen einen beliebigen Punkt, der nicht auf der Geraden liegt, zum Beispiel
und ersetzen ihn in der Ungleichung

Da die Aussage wahr ist, ist die Lösung die Halbebene, in der sich der Punkt
befindet, einschließlich der Geraden.

3 Die Lösung für das Ungleichungssystem ist der Bereich, in dem sich die Lösungsbereiche überschneiden.

Drei Ungleichungen mit zwei Variablen


1 Wir stellen den Lösungsbereich der ersten Ungleichung dar.
1 Wir formen die Ungleichung in eine Gleichung um

2 Wir nehmen zwei Werte für die Variable
, wodurch wir zwei Punkte erhalten 


3 Wenn wir diese Punkte einzeichnen und miteinander verbinden, erhalten wir eine Gerade.
4 Wir nehmen einen beliebigen Punkt, der nicht auf der Geraden liegt, zum Beispiel
und ersetzen ihn in der Ungleichung. Wenn die Aussage wahr ist, ist die Lösung die Halbebene, in der sich der Punkt befindet. Wenn nicht, ergibt sich als Lösung die andere Halbebene.

Da die Aussage wahr ist, ist die Lösung die Halbebene, in der sich der Punkt
befindet, einschließlich der Geraden.

2 Wir stellen den Lösungsbereich der zweiten Ungleichung dar.
1 Wir formen die Ungleichung in eine Gleichung um

2 Wir nehmen zwei Werte für die Variable
, wodurch wir zwei Punkte
erhalten


3 Wir nehmen einen beliebigen Punkt, der nicht auf der Geraden liegt, zum Beispiel
und setzen ihn in die Ungleichung ein

Da die Aussage wahr ist, ergibt sich als Lösung die Halbebene, in der sich der Punkt
befindet, einschließlich der Geraden.

3 Wir stellen den Lösungsbereich der dritten Ungleichung dar.
1 Wir stellen die Gerade
dar
2 Wir nehmen für
einen Wert, der nicht auf der Geraden liegt, zum Beispiel
und ersetzen ihn in der Ungleichung

Da die Aussage wahr ist, ergibt sich als Lösung die Halbebene, in der der Wert
liegt

4 Die Lösung ist der Bereich, in dem sich die Lösungsbereiche überschneiden.

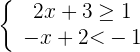
Zwei Ungleichungen mit einer Variable


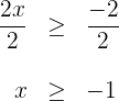
1 Wir lösen die erste Ungleichung 
2 Wir subtrahieren
auf beiden Seiten der Ungleichung und erhalten

3 Um
zu bestimmen, dividieren wir beide Seiten der Ungleichung durch
und erhalten

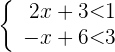
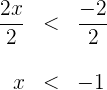
4 Wir lösen die zweite Ungleichung, indem wir
auf beiden Seiten der Ungleichung subtrahieren

5 Wir multiplizieren beide Seiten der Ungleichung mit
, wodurch das Ungleichheitszeichen umgedreht wird

6 Wir stellen die Lösungen grafisch dar

7Die Lösung für die Ungleichungen ist die Schnittmenge der zwei Lösungen. Also alle Punkte, die beide gemeinsam haben



1 Wir lösen die erste Ungleichung

2 Wir subtrahieren
auf beiden Seiten der Ungleichung und erhalten

3 Um
zu bestimmen, dividieren wir beide Seiten der Ungleichung durch
und erhalten

4 Wir lösen die zweite Ungleichung, indem wir
auf beiden Seiten der Gleichung subtrahieren und erhalten

5 Wir multiplizieren beide Seiten der Ungleichung mit
, wodurch das Ungleichheitszeichen umgedreht wird

6 Wir stellen die Lösungen grafisch dar

7 Die Lösung des Ungleichungssystems ist die Schnittmenge aus den zwei vorhergehenden Lösungen. Also alle Punkte, die beide gemeinsam haben.
ist ein Punkt, der zur Lösungsmenge der ersten Ungleichung gehört, aber nicht zur Lösungsmenge der zweiten Ungleichung. Daher ist
die untere Grenze des offenen Intervalls



1 Wir lösen die erste Ungleichung

2 Wir subtrahieren
auf beiden Seiten der Ungleichung und erhalten

3 Um
zu bestimmen, dividieren wir beide Seiten der Ungleichung durch
und erhalten

4 Wir lösen die zweite Ungleichung, indem wir
auf beiden Seiten der Ungleichung subtrahieren und erhalten

5 Wir multiplizieren beide Seiten der Ungleichung mit
, wodurch das Ungleichheitszeichen umgedreht wird

6 Wir stellen die Lösungen grafisch dar

7 Wir stellen fest, dass es keine gemeinsamen Punkte gibt. Somit ergibt sich die Schnittmenge
.


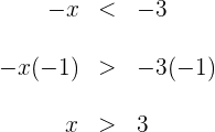
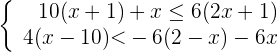
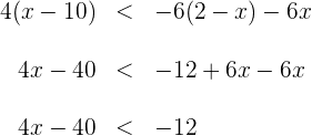
1 Wir lösen die erste Ungleichung durch Ausmultiplizieren und Zusammenfassen

2 Wir subtrahieren
und
auf beiden Seiten der Ungleichung und erhalten

3 Wir multiplizieren beide Seiten der Ungleichung mit
, wodurch das Ungleichheitszeichen umgedreht wird

4 Wir lösen die zweite Ungleichung durch Ausmultiplizieren und Zusammenfassen

5 Wir addieren
auf beiden Seiten der Ungleichung und erhalten

6 Um
zu bestimmen, dividieren wir beide Seiten der Ungleichung durch
und erhalten

7 Wir stellen die Lösungen grafisch dar

8 Die Lösung des Ungleichungssystems ist die Schnittmenge aus den zwei vorhergehenden Lösungen. Also alle Punkte, die beide gemeinsam haben.
ist ein Punkt, der zur Lösungsmenge der ersten Ungleichung gehört, aber nicht zur Lösungsmenge der zweiten Ungleichung. Daher ist
die obere Grenze des Intervalls,
ist die untere Grenze
