Lineare Ungleichungen
Eine lineare Ungleichung ist eine Ungleichung, bei der die Potenz der Variablen eins ist.
Beispiele:
ist eine lineare Ungleichung.
ist eine lineare Ungleichung.
ist keine lineare Ungleichung, weil die Variable im Nenner steht.
Schrittweises Lösen einer linearen Ungleichung
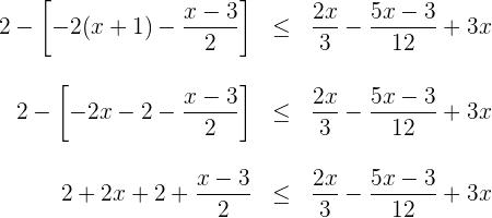
Finde die Werte von , die die Ungleichung erfüllen
1 Entferne zuerst die Klammern und dann die eckigen Klammern

2 Multipliziere beide Seiten der Ungleichung mit dem kleinsten gemeinsamen Vielfachen der in der Ungleichung vorkommenden Nenner, um die Nenner zu eliminieren, d. h. mit und vereinfache alles

3 Eliminiere auf der linken Seite der Ungleichung und die Konstanten auf der rechten Seite. Subtrahiere daher
und
auf jeder Seite der Ungleichung und vereinfache wieder

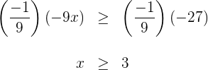
4 Multipliziere beide Seiten der Ungleichung mit , um
zu eliminieren. Multiplizierst du beide Seiten mit einer negativen Zahl, so ändert sich der Sinn des Symbols der Ungleichung

5 Du kannst die Lösung der Ungleichung auch in grafischer Form darstellen

6 Du kannst die Lösung der Ungleichung auch in Form eines Intervalls ausdrücken