Wie wird der Mittelpunkt einer Strecke bestimmt?
Als Beispiel nehmen wir die Strecke
mit den Endpunkten
und
der folgenden Abbildung:

Der Mittelpunkt ist der Punkt
, der sich auf der Strecke
befindet und bewirkt, dass die Strecke
genauso lang ist wie die Strecke
, das heißt
Der Mittelpunkt wird anhand folgender Formel berechnet:
Man sagt, der Punkt
ist der Spiegelpunkt von
an
, wenn
der Mittelpunkt der Strecke
ist.
Punkte, die eine Strecke proportional teilen
Wenn wir einen Punkt
ermitteln wollen, der eine Strecke so teilt, dass die Bedingung
erfüllt ist, verwenden wir
Rechenaufgaben: Koordinaten des Mittelpunkts
Bestimme die Koordinaten des Mittelpunkts der Strecke
mit den Endpunkten:
a
und
,
b
und
.
Um den Mittelpunkt zu bestimmen, verwende einfach die Formel:
a Für den ersten Fall erhältst du

Der Mittelpunkt ist daher
.
b Für den zweiten Fall ist der Mittelpunkt

Berechne:
a den Spiegelpunkt von
an 
b den Spiegelpunkt von
an 
a Wir benennen den Spiegelpunkt von
mit
.
ist der Mittelpunkt der Streckees
. Wenn
die Koordinaten
hat, berechnet sich
mit

Außerdem ist
. Daher ist

Wenn wir beide Gleichungen mit 2 multiplizieren, erhalten wir

Wir lösen auf und erhalten
und
. Der Spiegelpunkt ist also
.
b Benenne den Spiegelpunkt wie in der vorherigen Aufgabe mit
.
wird wie folgt berechnet:

Außerdem ist
. Daher ist

Wenn wir beide Gleichungen mit 2 multiplizieren, erhalten wir

Wir lösen auf und erhalten
und
. Der Spiegelpunkt ist also
.
Berechne die Punkte
und
die die Strecke
mit den Endpunkten
und
in drei gleich lange Segmente teilen.
Wir müssen die beiden Punkte
und
so definieren, dass

a Um den ersten Punkt zu finden, muss
sein,
da das Segment, das im Nenner steht, die doppelte Länge haben muss. Wende nun die Formel an:

b Um den zweiten Punkt zu finden, gehen wir ähnlich vor:
,
da in diesem Fall das Segment des Zählers doppelt so lang ist. Wende nun die Formel an:

Die Punkte sind also
und
.
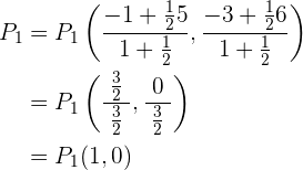
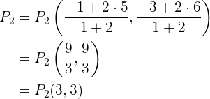
Ermittle die Koordinaten des Punktes
.
ist dabei der Mittelpunkt von
und
.
Notiere die Koordinaten des Punktes
als
.
erhält man dann wie folgt:

Außerdem ist
. Daher erhalten wir zwei Gleichungen

Wenn wir beide Gleichungen mit 2 multiplizieren, erhalten wir

Wir lösen auf und erhalten
y
. Der gesuchte Punkt ist also

Gegeben sei die Strecke
mit den Endpunkten
und
Bestimme die Koordinaten des Punktes
, der die Strecke
so in zwei Segmente teilt, dass
halb so lang wie
ist.
Da
halb so lang wie
sein muss, erhalten wir

Verwende die Formel:

Der gesuchte Punkt ist also
.
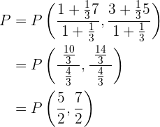
Die Strecke
mit den Endpunkten
und
wird in vier gleich lange Teile geteilt. Welche Koordinaten haben die Punkte, die sie teilen?
Wir suchen die Punkte
,
und
, für die

wie in der folgenden Abbildung gezeigt wird:

a Um
zu berechnen, gehen wir wie folgt vor:
,
da die Strecke von
zu
ein Drittel der Länge der Strecke von
zu
misst. Um
zu berechnen, verwenden wir also folgende Formel:

b Wir sehen, dass
der Mittelpunkt zwischen
und
ist, daher wird er wie folgt berechnet:/p>

c Zuletzt erhalten wir für 
,
da die Strecke von
nach
drei mal so lang sein muss wie die Strecke von
nach
. Anhand der Formel erhalten wir für
:

Die gesuchten Punkte sind also

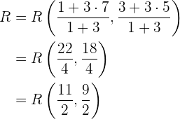
Gegeben seien die Punkte
und
. Bestimme den Punkt
, der kolinear zu
und
ist und folgendes erfüllt:

Für die Berechnung von kolinearen Punkten wird immer die Formel zur Berechnung der Mittelpunkte oder der Punkte, die eine Strecke teilen, verwendet:
Die Beziehung
der Punkte zueinander steht auch bereits fest, daher können wir die Formel verwenden:

Der gesuchte Punkt
ist also

Mit KI zusammenfassen:








