Der Begriff der Basis ist einer der wichtigsten in der linearen Algebra. Im Grunde ist eine Basis eine Teilmenge von Elementen unseres Vektorraums, mit der wir alle Vektoren in Form dieser Elemente ausdrücken können. Zunächst beachten wir, dass drei Vektoren
,
und
im Raum linear unabhängig sind, wenn einer von ihnen nicht als Linearkombination der anderen beiden Vektoren geschrieben werden kann.
Das bedeutet, dass die drei Vektoren unterschiedliche Richtungen haben. Außerdem bilden die drei Vektoren
,
und
den gesamten Raum, wenn ein beliebiger Vektor
als Linearkombination aus
,
und
geschrieben werden kann. Das heißt,
, wobei
,
und
reelle Zahlen sind.
Schließlich definieren wir eine Basis des Raums als eine Menge von drei Elementen
,
und
so dass sie linear unabhängig sind und den gesamten Raum bilden.
Das bekannteste Beispiel für eine Basis aus drei Vektoren ist die Standardbasis
Die Koordinaten eines beliebigen Vektors
lauten also wie folgt
Orthogonalbasis
Eine Basis der Vektoren
,
und
ist orthogonal, wenn die Vektoren der Basis zueinander senkrecht sind. Das heißt:
,
wobei
das Skalarprodukt darstellt.
Die Standardbasis ist eine Orthogonalbasis, da ihre Elemente senkrecht zueinander stehen.
Orthonormalbasis
Eine Basis ist orthonormal, wenn die Vektoren der Basis senkrecht zueinander stehen und außerdem den Betrag 1 haben. Das heißt,
Auch hier können wir sagen, dass die Standardbasis orthonormal ist, da
Beispiele für orthogonale und orthonormale Basen
1 Gegeben sind die Vektoren
,
und
. Zeige, dass diese Vektoren eine Basis bilden und berechne die Koordinaten des Vektors
in Bezug auf diese Basis.
Wir stellen fest, dass diese Vektoren linear sind, also stellen wir die folgende Gleichung auf
Daraus ergibt sich das folgende Gleichungssystem
Um herauszufinden, wie viele Lösungen dieses System hat, müssen wir seine Determinante berechnen. Wenn diese ungleich 0 ist, haben wir nur die einfache Lösung 
Das homogene System lässt nur die einfache Lösung zu:
Daher sind die drei Vektoren linear unabhängig und bilden eine Basis.
Nun suchen wir die Koordinaten des Vektors
in Bezug auf unsere Basis. Dazu stellen wir die folgende Gleichung auf, wobei
,
und
reelle Zahlen sind
Daraus ergibt sich das folgende Gleichungssystem, aus dem wir die Lösungen für
,
und erhalten, die die gesuchten Koordinaten darstellen
Wir erhalten
und somit ist 
Daraus folgt, dass 
und 
sowie 
Daher sind die Koordinaten von
in unserer Basis 
2 Gegeben sind die Vektoren: 
A Zeige, dass sie eine Basis bilden.
Die drei Vektoren bilden eine Basis, wenn sie linear unabhängig sind. Um dies zu zeigen, stellen wir die folgende Gleichung und das folgende System auf
Daraus ergibt sich das folgende Gleichungssystem
Um herauszufinden, wie viele Lösungen dieses System hat, müssen wir seine Determinante berechnen. Wenn diese ungleich 0 ist, haben wir nur die einfache Lösung
,
Das homogene System lässt nur die einfache Lösung zu:
Daher sind die drei Vektoren linear unabhängig und bilden eine Basis.
B Ermittle die Koordinaten der Vektoren der Standardbasis in Bezug auf diese.
Um dies zu lösen, müssen wir die folgenden drei Gleichungen aufstellen
Und die Werte für alle
,
und
bestimmen. Diese bestimmen die Koordinaten für die Vektoren der Standardbasis. Wir beginnen mit der ersten Gleichung, aus der wir das folgende Gleichungssystem erhalten
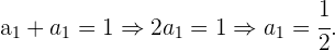
Wir stellen fest, dass 
weshalb 
Und somit 
Die Koordinaten des Vektors
lauten also
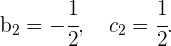
Aus der zweiten Gleichung ergibt sich das folgende Gleichungssystem
Wir stellen fest, dass 
weshalb 
Und somit 
Die Koordinaten des Vektors
lauten also
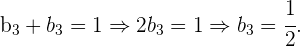
Aus der letzten Gleichung ergibt sich das folgende Gleichungssystem
Wir stellen fest, dass 
weshalb 
Und somit 
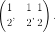
Die Koordinaten des Vektors
lauten also 
C Berechne den Wert von
so, dass die Vektoren
,
und
eine Basis bilden.
Es gilt zu beachten, dass diese Vektoren linear unabhängig sind. Wir überprüfen dies, indem wir die Determinanten der durch sie gebildeten Matrix berechnen. Wenn die Determinante ungleich 0 ist, sind sie linear unabhängig
Diese Determinante ist ungleich 0, wenn
. Das heißt
Daraus lässt sich schließen, dass die Vektoren eine Basis bilden, wenn
.
Mit KI zusammenfassen:








