Definition
Das Vektorprodukt
aus zwei Vektoren ist ein weiterer Vektor, der in die entgegengesetzte Richtung zu den zwei Vektoren verläuft. Seine Orientierung kann mit einem Korkenzieher verglichen werden, der von
nach
gedreht wird. Sein Betrag entspricht:
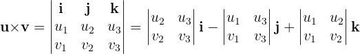
Das Vektorprodukt kann als Determinante geschrieben werden:

Beispiele
Berechne das Vektorprodukt der Vektoren
und
.

1 In die Formel einsetzen

2 Die Determinanten von
berechnen

Gegeben sind die Vektoren
y
. Berechne das Vektorprodukt dieser Vektoren. Beweise, dass der ermittelte Vektor orthogonal zu
und
ist.

1 In die Formel einsetzen

2 Die Determinanten von
berechnen

3 Orthogonalität mithilfe des Skalarprodukts überprüfen
Wir berechnen das Skalarprodukt des resultierenden Vektors mit
und 


Da das Ergebnis null ist, ist das Vektorprodukt
orthogonal zu den Vektoren
und
.
Fläche des Parallelogramms
Geometrisch gesehen entspricht der Betrag des Vektorprodukts zweier Vektoren der Fläche des Parallelogramms mit diesen Vektoren als Seiten

Beispiel
Gegeben sind die Vektoren
und
. Bestimme die Fläche des Parallelogramms, dessen Seiten die Vektoren
und
sind.

1 In die Formel einsetzen

2 Die Determinante von
berechnen

3 Die Fläche des Parallelogramms bestimmen

Fläche eines Dreiecks
Die Diagonale eines Parallelogramms teilt dieses in zwei gleiche Dreiecke. Somit ist die Fläche des Dreiecks die Hälfte der Fläche des Parallelogramms.
Beispiel
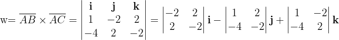
Bestimme die Fläche des Dreiecks mit den Eckpunkten



1 Die Vektoren ermitteln, die die Seiten des Dreicks bilden
Folgende Vektoren bilden die Seiten:


2 In die Formel zur Berechnung des Vektorprodukts einsetzen

3 Die Determinante von
berechnen

Als Koordinaten ausgedrückt:

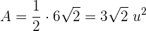
4 Wir berechnen die Fläche
Wir berechnen den Betrag des resultierenden Vektors des Vektorprodukts

Wir dividieren durch zwei

Eigenschaften des Vektorprodukts
1 Antikommutativität
2 Es gilt die Regel
3 Für das Vektorprodukt gilt das Distributivgesetz
4 Das Vektorprodukt zweier paralleler Vektoren entspricht dem Nullvektor.
5 Das Vektorprodukt
ist senkrecht zu
und zu
.

Mit KI zusammenfassen:








