Drücke den Vektor
als Linearkombination der folgenden Vektoren aus:
.
Drücke den Vektor
als Linearkombination der folgenden Vektoren aus:
.
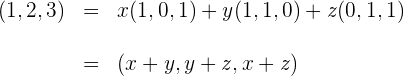
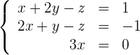
1 Wir drücken den Vektor
als Linearkombination von
aus
.
2 Wir setzen die Werte der Vektoren ein

3 Wir erhalten das Gleichungssystem

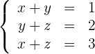
4 Wir addieren die drei Gleichungen Glied für Glied, vereinfachen die erhaltene Gleichung und subtrahieren jede der Gleichungen.

5 Wir subtrahieren jede der drei Gleichungen von der erhaltenen Gleichung und erhalten

6 Die Linearkombination lautet

Gegeben sind
. Zeige, dass diese Vektoren linear unabhängig sind und drücke den Vektor
als Linearkombination dieser Vektoren aus.
Gegeben sind
. Zeige, dass diese Vektoren linear unabhängig sind und drücke den Vektor
als Linearkombination dieser Vektoren aus.
1Wir berechnen die Determinante von 

Da die Determinante ungleich 0 ist, sind
linear unabhängig.
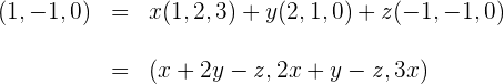
2 Wir drücken
als Linearkombination von
aus
.
3 Wir setzen die Werte der Vektoren ein

4 Wir erhalten das Gleichungssystem

5 Wir addieren die drei Gleichungen Glied für Glied, vereinfachen die erhaltene Gleichung und subtrahieren jede der Gleichungen.

6 Wir subtrahieren jede der drei Gleichungen von der erhaltenen Gleichung und erhalten

7 Die Linearkombination lautet

Gegeben sind die Vektoren
. Zeige, dass diese Vektoren eine Basis bilden und berechne die Koordinaten des Vektors
in Bezug auf diese Basis.
Gegeben sind die Vektoren
. Zeige, dass diese Vektoren eine Basis bilden und berechne die Koordinaten des Vektors
in Bezug auf diese Basis.
1Wir berechnen die Determinante von 

Da die Determinante ungleich 0 ist, sind
linear unabhängig und bilden eine Basis.
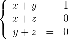
2 Wir drücken den Vektor
als Linearkombination von
aus
.
3 Wir setzen die Werte der Vektoren ein

4 Wir erhalten das Gleichungssystem

5 Wir lösen das Gleichungssystem und erhalten

6 Die Linearkombination lautet

Gegeben sind die Vektoren:
. Zeige, dass sie eine Basis bilden und berechne die Koordinaten der Vektoren der Standardbasis in Bezug auf diese Basis.
Gegeben sind die Vektoren:
. Zeige, dass sie eine Basis bilden und berechne die Koordinaten der Vektoren der Standardbasis in Bezug auf diese Basis.
1Wir berechnen die Determinante von 

Da die Determinante ungleich 0 ist, sind
linear unabhängig und bilden eine Basis.
2 Wir drücken den Einheitsvektor
als Linearkombination von
aus
.
3 Wir erhalten das Gleichungssystem

4 Wir lösen das Gleichungssystem und erhalten

5 Die Koordinaten des Einheitsvektors
in Bezug auf die neue Basis lauten:

6 Wir wiederholen die Schritte 2 bis 5. Die Koordinaten der Einheitsvektoren
in Bezug auf die neue Basis lauten:


Bestimme den Wert des Parameters
, so dass die Vektoren
orthogonal sind:
Bestimme den Wert des Parameters
, so dass die Vektoren
orthogonal sind:
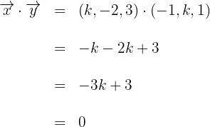
1Damit Vektoren orthogonal sind, muss ihr Skalarprodukt gleich 0 sein.

2Das Ergebnis der Gleichung
ist
, unser gesuchter Wert.
Gegeben sind die Punkte
. Berechne die Werte von los valores de
, so dass sich die Punkte auf einer Geraden befinden. Wie lauten die Werte von
, wenn die Punkte drei Eckpunkte eines Parallelogramms mit der Fläche 3 sind?
Gegeben sind die Punkte
. Berechne die Werte von los valores de
, so dass sich die Punkte auf einer Geraden befinden. Wie lauten die Werte von
, wenn die Punkte drei Eckpunkte eines Parallelogramms mit der Fläche 3 sind?
1Wir berechnen die Vektoren 


2Wenn sich
auf einer Geraden befinden, haben die Vektoren
die gleiche Richtung, da sie linear unabhängig sind und ihre Elemente proportional sind

3Wir setzen die Koordinaten gleich und erhalten

4Wenn die Punkte Eckpunkte eines Parallelogramms sind, dann ist der Betrag des Vektorprodukts von
gleich dem Flächeninhalt des Parallelogramms, das auf
konstruiert ist.

5Wir setzen die Fläche gleich 3 und erhalten


Finde zwei Vektoren, deren Betrag die Einheit ist und die orthogonal zu
und
sind.
Finde zwei Vektoren, deren Betrag die Einheit ist und die orthogonal zu
und
sind.
1Wir berechnen den Betrag des Vektorprodukts der beiden Vektoren

2Die orthogonalen Einheitsvektoren sind

Ermittle einen Einheitsvektor, der senkrecht zu
und
ist.
Ermittle einen Einheitsvektor, der senkrecht zu
und
ist.
1Wir berechnen das Vektorprodukt der beiden Vektoren, das senkrecht zu
und
ist.

2Wir berechnen den Betrag des vorherigen Vektors

3Der Einheitsvektor ist

Mit KI zusammenfassen:
