Formel zur Berechnung des Winkels zwischen zwei Vektoren
Der Winkel, den zwei Vektoren
und
bilden, ist durch folgenden Ausdruck gegeben:
Der Ausdruck in Abhängigkeit der Koordinaten lautet
Beispiel: Bestimme den Winkel zwischen den Vektoren
und 
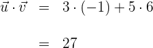
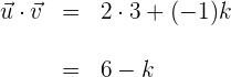
1Um die Formel zur Bestimmung des Winkels zwischen zwei Vektoren anzuwenden, berechnen wir zunächst das Produkt der beiden Vektoren
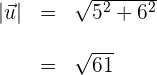
2Wir berechnen den Betrag des ersten Vektors
3Wir berechnen den Betrag des zweiten Vektors
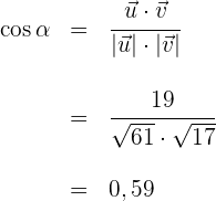
4Wir setzen die erhaltenen Werte in die Formel für die Berechnung des Winkels
zwischen zwei Vektoren ein
5Der Wert
, der die vorherige Gleichung erfüllt, ist 
Aufgaben
Berechne das Skalarprodukt und den Winkel, den die Vektoren
bilden.
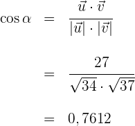
1 Um die Formel zur Bestimmung des Winkels zwischen zwei Vektoren anzuwenden, berechnen wir zunächst das Produkt der beiden Vektoren

2 Wir berechnen den Betrag des ersten Vektors

3 Wir berechnen den Betrag des zweiten Vektors

4 Wir setzen die vorher ermittelten Werte in die Formel des Winkels
zwischen zwei Vektoren ein

5 Der Wert
, der die vorhergehende Gleichung erfüllt, ist 
Berechne das Skalarprodukt und den Winkel, den die Vektoren
bilden.
1 Um die Formel zur Bestimmung des Winkels zwischen zwei Vektoren anzuwenden, berechnen wir zunächst das Produkt der beiden Vektoren

2 Wir berechnen den Betrag des ersten Vektors

3 Wir berechnen den Betrag des zweiten Vektors

4 Wir setzen die vorher ermittelten Werte in die Formel des Winkels
zwischen zwei Vektoren ein

5 Der Wert
, der die vorhergehende Gleichung erfüllt, ist 
Berechne das Skalarprodukt und den Winkel, den die Vektoren
bilden.
1 Um die Formel zur Bestimmung des Winkels zwischen zwei Vektoren anzuwenden, berechnen wir zunächst das Produkt der beiden Vektoren

2 Wir berechnen den Betrag des ersten Vektors

3 Wir berechnen den Betrag des zweiten Vektors

4 Wir setzen die vorher ermittelten Werte in die Formel des Winkels
zwischen zwei Vektoren ein

5 Der Wert
, der die vorhergehende Gleichung erfüllt, ist 
Gegeben sind die Vektoren
. Berechne
so, dass die Vektoren
und
senkrecht aufeinander sind.
1 Mithilfe der Formel zur Berechnung den Winkels zwischen zwei Vektoren erhalten wir

2 Wir berechnen das Skalarprodukt

3 Zwei Vektoren sind senkrecht aufeinander, wenn der Winkel zwischen ihnen
beträgt; der Kosinus dieses Winkels ist null
4 Wir berechnen den Betrag des ersten Winkels

5 Wir berechnen den Betrag des zweiten Winkels

6 Wir setzen in unsere ursprüngliche Formel die vorher erhaltenen Werte ein und lösen nach
auf

Der gesuchte Wert ist also 
Gegeben sind die Vektoren
. Bereche
so, dass die Vektoren
und
parallel sind.
1 Mithilfe der Formel zur Berechnung den Winkels zwischen zwei Vektoren erhalten wir

2 Wir berechnen das Skalarprodukt der Vektoren

3 Zwei Vektoren sind parallel, wenn der Winkel zwischen ihnen
ist; der Kosinus dieses Winkels ist eins
4 Wir berechnen den Betrag des ersten Vektors

5 Wir berechnen den Betrag des zweiten Vektors

6 Wir setzen in unsere ursprüngliche Formel die vorher erhaltenen Werte ein und lösen nach
auf

Der gesuchte Wert ist also 
Eine andere Möglichkeit, die Aufgabe zu lösen, besteht darin, die Proportionalität der Komponenten zu berücksichtigen

Gegeben sind die Vektoren
. Berechne
so, dass die Vektoren
und
einen Winkel von
bilden.
1 Mithilfe der Formel zur Berechnung den Winkels zwischen zwei Vektoren erhalten wir

2 Wir berechnen das Skalarprodukt der Vektoren

3 Der Winkel zwischen den zwei Vektoren beträgt
; der Kosinus dieses Winkels ist

4 Wir berechnen den Betrag des ersten Vektors

5 Wir berechnen den Betrag des zweiten Vektors

6 Wir setzen in unsere ursprüngliche Formel die vorher erhaltenen Werte ein und lösen nach
auf.

7 Wir lösen mithilfe der Formel zur Bestimmung der Nullstellen der quadratischen Gleichung

Die Nullstellen sind
. Aber nur
ist die Lösung von
, da wir bereits quadriert haben, um die Lösungen zu erhalten. Der gesuchte Werte ist also
.
Bestimme
, wenn der Winkel, den
und
bilden,
beträgt.
1 Mithilfe der Formel zur Berechnung den Winkels zwischen zwei Vektoren erhalten wir

2 Wir berechnen das Skalarprodukt der Vektoren

3 Der Kosinus von
ist null
4 Wir berechnen den Betrag des ersten Vektors

5 Wir berechnen den Betrag des zweiten Vektors

6 Wir setzen in unsere ursprüngliche Formel die vorher erhaltenen Werte ein und lösen nach
auf

Der gesuchte Wert ist also 
Bestimme
, wenn der Winkel, den die Vektoren
und
bilden,
beträgt.
1 Mithilfe der Formel zur Berechnung den Winkels zwischen zwei Vektoren erhalten wir

2 Wir berechnen das Skalarprodukt der Vektoren

3 Der Kosinus von
ist eins
4 Wir berechnen den Betrag des ersten Vektors

5 Wir berechnen den Betrag des zweiten Vektors

6 Wir setzen in unsere ursprüngliche Formel die vorher erhaltenen Werte ein und lösen nach
auf

Der gesuchte Wert ist also 
Bestimme
, wenn der Winkel, den die Vektoren
und
bilden,
beträgt.
1 Mithilfe der Formel zur Berechnung den Winkels zwischen zwei Vektoren erhalten wir

2 Wir berechnen das Skalarprodukt der Vektoren

3 Der Winkel zwischen den zwei Vektoren beträgt
; der Kosinus dieses Winkels ist

4 Wir berechnen den Betrag des ersten Vektors

5 Wir berechnen den Betrag des zweiten Vektors

6 Wir setzen in unsere ursprüngliche Formel die vorher erhaltenen Werte ein und lösen nach
auf

Die Nullstellen sind 
Überprüfe, ob das Segment, das die Mittelpunkte der Seiten
und
des Dreiecks:
verbindet, parallel zur Seite
und gleich ihrer Hälfte ist.
1 Wir stellen grafisch dar

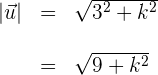
2 Wir berechnen den Mittelpunkt der Seite 

3 Wir berechnen den Mittelpunkt der Seite 

4 Wir berechnen den Vektor 

5 Wir berechnen den Vektor 

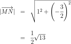
6 Wir berechnen den Betrag des ersten Vektors

7 Wir berechnen den Betrag des zweiten Vektors

8 Um herauszufinden, ob die zwei Vektoren parallel sind, überprüfen wir die Proportionalität ihrer Komponenten

Da die Komponenten proportional sind, sind die Vektoren parallel
Berechne die Winkels des Dreiecks mit den Eckpunkten:
.
1 Wir stellen grafisch dar

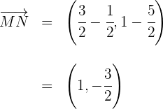
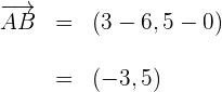
2 Wir berechnen den Vektor 

3 Wir berechnen den Vektor 

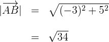
4 Wir berechnen den Betrag von 

5 Wir berechnen den Betrag von 

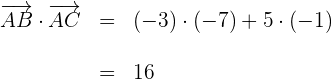
6 Wir berechnen das Skalarprodukt der beiden Vektoren

7 Wir setzen die vorher ermittelten Werte in die Formel des Winkels
zwischen zwei Vektoren ein

Der Wert
, der zum Eckpunkt
gehört und die vorherige Gleichung erfüllt, ist 
8 Wir berechnen den Vektor 

9 Wir berechnen den Vektor 

10 Wir berechnen den Betrag von 

11 Wir berechnen den Betrag von 

12 Wir berechnen das Skalarprodukt der beiden Vektoren

13 Wir setzen die vorher ermittelten Werte in die Formel des Winkels
zwischen zwei Vektoren ein

Der Wert
, der zum Eckpunkt
gehört und die vorherige Gleichung erfüllt, ist 
14 Da die Summe der Innenwinkel eines Dreiecks
ist, beträgt der Winkel
des Eckpunktes 

Mit KI zusammenfassen:








