Gegeben sind die Vektoren:

Ermittle die Linearkombination:

Als Erstes setzen wir die Werte von
,
in die Linearkombination ein und erhalten: 
Nun multiplizieren wir mit dem Skalar:

Wir müssen also die Summe der Vektoren bilden, um das Problem zu lösen:

Kann der Vektor
als Linearkombination der Vektoren
,
ausgedrückt werden?
Um herauszufinden, ob es möglich ist, den Vektor
als Linearkombination der Vektoren
,
auszudrücken, müssen wir Skalare
,
finden, so dass: 
Wenn wir die Werte von
einsetzen, erhalten wir:

Dies ist gleichbedeutend mit dem Lösen des Gleichungssystems;

Um dies zu lösen, nehmen wir die erste Gleichung und lösen nach
auf. Wir erhalten:

Nun setzen wir den Wert von
in die 2. Gleichung ein und erhalten:


Daraus folgt:
.
Wir konnten die Skalare
,
ermitteln, so dass:

Der Vektor
kann also als Linerarkombination der Vektoren
,
ausgedrückt werden.
Welche Paare der folgenden Vektoren bilden eine Basis für die Ebene
?

Da wir nach einer Basis für die
-Ebene suchen, wissen wir, dass zwei Vektoren eine Basis bilden, wenn sie nicht linear abhängig sind. Und wir wissen wiederum, dass zwei Vektoren linear abhängig sind, wenn einer ein skalares Vielfaches des anderen ist. Das heißt, es genügt zu prüfen, ob in einem Paar von Vektoren keiner von ihnen ein Vielfaches des anderen ist, damit sie eine Basis bilden.
Bei zwei Vektoren
sagen wir, dass einer ein Vielfaches des anderen ist, wenn 
Wir nehmen also die Vektoren
und
. Wir stellen fest:

und
bilden daher eine Basis für die Ebene.
Nun nehmen wir die Vektoren
und
. Wir stellen fest:

und
bilden daher keine Basis für die Ebene.
Zuletzt nehmen wir die Vektoren
und
und stellen fest:

y
bilden daher eine Basis für die Ebene.
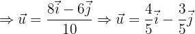
Finde einen Einheitsvektor
, der die gleiche Richtung hat wie der Vektor 
Die Formel für die Bestimmung eines Einheitsvektors
mit der gleichen Richtung wie ein Vektor
ist gegeben durch: 
Dabei stellt
die Norm des Vektors
dar.
Wir setzen die gegebenen Werte ein und erhalten:


Angenommen, die Vektoren
haben in Bezug auf die Orthonormalbasis
der Ebene die Ausdrücke:

Berechne den Wert von
, wenn du weißt, dass 
Wir setzen die jeweiligen Werte von
in den Ausdruck
ein. So erhalten wir schließlich: 

Wenn wir also das
des letzten Ausdrucks ermitteln, erhalten wir:

Gegeben sind die Vektoren
und
. Berechne
, so dass die Vektoren
und
folgende Eigenschaften erfüllen:
- Sie sind zueinander senkrecht.
- Sie sind parallel.
- Sie bilden einen Winkel von
.
a Wenn wir möchten, dass die Vektoren senkrecht zueinander stehen, müssen wir einen Wert für
wählen, der: 
Setzt man die Werte der beiden Vektoren in die letztgenannte Gleichung ein und führt die entsprechenden Rechenschritte durch, erhält man: 

Wenn wir also
berechnen, erhalten wir:

b Die Forderung, dass zwei Vektoren parallel sein sollen, ist gleichbedeutend mit der Forderung, dass einer der Vektoren ein skalares Vielfaches des anderen sein soll. Also müssen wir einen Wert für
wählen, für den gilt, dass: 
Diesen können wir leicht erhalten, indem wir
aus diesem letzten Ausdruck ermitteln. Wir erhalten: 
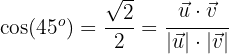
c Der Winkel, der von zwei Vektoren
und
gebildet wird, ist durch folgenden Ausdruck gegeben: 
Dabei steht
für die Norm des Vektors
(ähnlich für
) und
ist der Winkel zwischen den Vektoren. Wenn wir also einen Winkel zwischen den Vektoren suchen, der
ist, bedeutet dies, dass:

Wir setzen den Wert von
und
in diesen letzten Ausdruck ein und erhalten:





Nun müssen wir nur noch die allgemeine Formel für quadratische Gleichungen anwendne und erhalten so die Lösungen des letzten Ausdrucks:

Bestimme
, wenn der Winkel, den
mit
bildet, wie folgt ist:
.
.- Sie bilden einen Winkel von
.
a Wenn der Winkel zwischen den Vektoren
beträgt, sind die Vektoren zueinander senkrecht. Daher muss der Wert von
wie folgt sein: 
Wenn wir die Werte der beiden Vektoren in diese letzte Gleichung einsetzen und die entsprechenden Schritte durchführen, erhalten wir: 

Wenn wir also nach
auflösen, erhalten wir:

b Wenn der Winkel zwischen zwei Vektoren
ist, bedeutet dies, dass die Vektoren parallel sind. Dies entspricht der Forderung, dass einer der Vektoren ein skalares Vielfaches des anderen Vektors sein muss, so dass wir einen Wert für
finden müssen, der: 
Diesen erhalten wir ganz einfach, indem wir diesen letzten Ausdruck nach
auflösen. Wir erhalten: 
c Der Winkel, den die zwei Vektoren
und
bilden, ist durch folgenden Ausdruck gegeben: 
Dabei steht
für die Norm des Vektors
(ähnlich für
), und
ist der Winkel zwischen den Vektoren. Wenn der Winkel zwischen den Vektoren
sein soll, bedeutet das:

Wir setzen den Wert von
und
in diesen letzten Ausdruck ein und erhalten:





Jetzt müssen wir nur noch die allgemeine Formel für quadratische Gleichungen anwenden, um die Lösungen des letzten Ausdrucks zu finden. Diese sind:

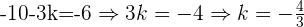
Wir nehmen an, dass die Vektoren
und
in Bezug auf die Orthonormalbasis
der Ebene folgende Ausdrücke haben:

Berechne den Wert von
, so dass die zwei Vektoren orthogonal sind.
Wenn zwei Vektoren
und
orthogonal sind, gilt:
. Damit dies zutrifft, muss ein Wert für
gesucht werden. Dazu setzen wir die Werte der Vektoren ein und führen die entsprechenden Rechenoperationen durch. 

Berechne die Winkel des Dreiecks mit den Eckpunkten: 

Der Winkel, den die zwei Vektoren
und
bilden, ist durch folgenden Ausdruck gegeben: 
Dabei stellt
die Norm des Vektors
(ähnlich für
) dar und
ist der Winkel zwischen den Vektoren. In diesem Fall können wir die Segmente, die die Punkte des Dreiecks verbinden, wie folgt als Vektoren betrachten: 


Zunächst ermitteln wir den Winkel
, der zwischen den Vektoren
und
liegt, mit der anfangs genannten Formel:




Nun bestimmen wir den Winkel
, der zwischen den Vektoren
und
liegt, mit der anfangs genannten Formel:


Da
eine gerade Funktion ist, gilt
. Wir erhalten somit:


Um den Wert des letzten Winkels
zu ermitteln, können wir dasselbe Verfahren wie bei den vorherigen Winkeln anwenden, aber wir nutzen die Tatsache, dass die Summe der Innenwinkel eines Dreiecks gleich
ist. Somit:


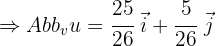
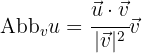
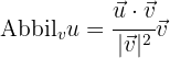
Berechne die Abbildung des Vektors
auf den Vektor
.
Die Abbildung des Vektors
auf den Vektor
ist durch folgende Formel gegeben:
,
wobei
die Norm des Vektors
ist. Wir setzen also die Werte der Vektoren
und
in diese Formel ein und erhalten: 

Berechne die Abbildung des Vektors
auf den Vektor
, wobei
.
Als Erstes berechnen wir die Elemente der Vektoren
und
: 

Nun ist die Abbildung des Vektors
auf den Vektor
durch die folgende Formel gegeben: 
Wenn wir also die Werte der Aufgabenvektoren einsetzen, erhalten wir: 


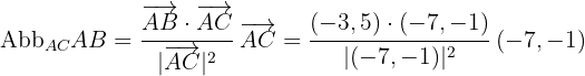
Prüfe, ob das Segment, das die Mittelpunkte der Seiten
und
des Dreiecks verbindet:
, ist parallel zur Seite
und gleich seiner Hälfte.

Als Erstes müssen wir den Mittelpunkt der Seiten
und
finden, den wir mit der folgenden Formel berechnen können: 
Der Mittelpunkt der Seite
ist also: 
und der Mittelpunkt der Seite
ist: 
Somit ist das Segment, dass die Mittelpunkte dieser Seiten verbindet
. Nun ist das Segment
parallel zur Seite
, wenn die Elemente proportional sind (das eine ist ein Vielfaches des anderen).
Bei den Vektoren
ist einer ein Vielfaches des anderen, wenn 
Wenn wir letzteres nutzen, können wir herausfinden, ob die Vektoren
,
parallell sind. Also setzen wir ihre Elemente in diesen Ausdruck ein und erhalten:

Das Segment ist also tatsächlich
parallel zur Seite
.
Wenn
eine Orthonormalbasis bildet, berechne:
.
.
.
.
Da die Vektoren
eine Orthonormalbasis bilden, bedeutet dies, dass die Norm jedes Vektors gleich
ist. 
Wir wissen nun, dass der Winkel
zwischen zwei Vektoren
gegeben ist durch: 
Wir können diesen Ausdruck also wie folgt umschreiben: 
Mit dem letzten Ausdruck erhalten wir:
a 
Da wir das Punktprodukt zweier gleicher Vektoren berechnen, ist der Winkel zwischen ihnen
und ihre Norm ist
, da es sich um Vektoren handelt, die zur Orthonormalbasis gehören. Somit:


b 
Da wir das Punktprodukt zwischen zwei Vektoren berechnen, die zur Orthonormalbasis gehören, bedeutet dies, dass der Winkel zwischen den beiden Vektoren
ist und die Norm
ist. Somit:


c 
Da wir das Punktprodukt zweier Vektoren berechnen, die zur Orthonormalbasis gehören, bedeutet dies, dass der Winkel zwischen den beiden Vektoren
ist und seine Norm
ist. Somit:


4
Da wir das Punktprodukt zwischen zwei Vektoren berechnen, die zur Orthonormalbasis gehören, bedeutet dies, dass der Winkel zwischen den beiden Vektoren
ist und seine Norm
ist. Somit:


Mit KI zusammenfassen:
