Definition der Komponenten eines Vektors
Wir sehen uns die Punkte
und
sowie den Vektor
der vom Punkt
zum Punkt
geht. Hierzu folgende Abbildung:

Wir definieren die Komponenten des Vektors
als Koordinaten des Endpunkts
minus die Koordinaten des Startpunkts
. Das heißt:

Vektoren werden manchmal in folgender Form geschrieben
,
wobei
die erste Komponente und
die zweite Komponente ist. Somit

A
und
sind auch als kanonische Vektoren bekannt. Dies ist nur eine andere Art, einen Vektor zu schreiben.
Im Allgemeinen können die Bestandteile eines Vektors auch als Koordinaten bezeichnet werden. Dies ist jedoch in diesem Zusammenhang nicht angebracht. Der Grund dafür ist, dass die Koordinaten Zahlen sind, die es uns ermöglichen, ein Objekt in der Ebene oder im Raum zu finden, während die Komponenten des Vektors uns nicht dabei helfen, es in der Ebene zu lokalisieren.
Anwendung in Bezug auf die Kollinearität von Punkten
Wir haben die drei Punkte
,
und
. Anhand von Vektoren können wir dann feststellen, ob diese Punkte kollinear sind (d. h. alle drei Punkte liegen auf derselben Geraden).
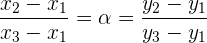
Hierbei ist zu beachten, dass zwei Vektoren parallel sind, wenn der eine das skalare Vielfache des anderen ist. Das heißt,
. Deshalb sind
,
und
kollinear, wenn

Das heißt:

Wenn wir seine Komponenten einsetzen, erhalten wir

Das heißt:

Wenn wir dann beide Gleichungen nach
auflösen, erhalten wir

Daher sind drei Punkte kollinear, wenn gilt:

Aufgaben
Berechne die Komponenten des Vektors
, dessen Anfangs- und Endpunkte die Punkte
sind
Wir wenden einfach die Formel an, die wir zu Beginn erhalten haben:

Ein Vektor
hat die Komponenten
. Ermittle die Koordinaten von
, wenn du weißt, dass
.
In diesem Fall betrachten wir beliebige Komponenten für
. Das heißt
. Wir wenden also die Formel an und erhalten

Daher müssen die Komponenten gleich sein, d. h:

Wenn wir nach
und
auflösen, erhalten wir

Somit ist
.
Wir haben die Punkte
,
und
. Sind diese Punkte kollinear?
Um herauszufinden, ob die Punkte kollinear sind, überprüfen wir einfach, ob die zuvor geprüfte Relation erfüllt ist. Zunächst prüfen wir das Verhältnis der
-Komponenten:

und überprüfen nun das Verhältnis der
-Komponenten :

Da die beiden Verhältnisse gleich sind, kann man also davon ausgehen, dass die Punkte kollinear sind.
Wir haben die Punkte
,
und
. Sind diese Punkte kollinear?
Um herauszufinden, ob die Punkte kollinear sind, überprüfen wir ähnlich wie bei der vorherigen Aufgabe, ob die Relation, die wir zuvor geprüft haben, erfüllt ist. Zunächst sehen wir uns das Verhältnis der
-Komponenten an:

Und nun das Verhältnis der
-Komponenten:

In diesem Fall sind die Anteile nicht gleich, daher sind die Punkte nicht kollinear.
Ermittle den Wert von
so, dass die Punkte
,
und
kollinear sind.
Wenn die Punkte kollinear sind, muss gelten

Auf der linken Seite der Gleichung erhalten wir

Wenn wir die Gleichung mit
multiplizieren, erhalten wir

Das heißt,
.
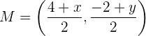
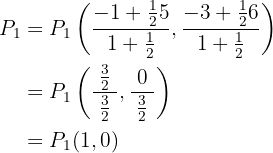
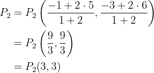
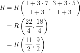
Gegeben sind die Punkte
und
. Finde einen Punkt
, der kollinear mit den Punkten
und
ist. Außerdem muss der Vektor
-mal so lang sein wie
. Das heißt:

Wir haben:

, weshalb die Punkte kollinear sind. Wir bezeichnen den Punkt
als
und somit

Es muss also gelten, dass

Daraus ergeben sich die folgenden Gleichungen:

Wir lösen und erhalten:
und
. Somit ist der Punkt 

Mittelpunkt von zwei Punkten und Schwerpunkte
Wir denken daran, dass wenn wir die Punkte
und
haben, der Mittelpunkt dieser Punkte wie folgt berechnet wird:

Die folgende Abbildung zeigt den Mittelpunkt von
und
:

Außerdem heißt der Punkt
symmetrisch zu
in Bezug auf
, wenn
der Mittelpunkt der Strecke
ist.
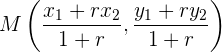
Wenn wir einen Punkt
finden wollen, der den Geradenabschnitt so teilt, dass er
erfüllt,
wenden wir an:

Ähnlich verhält es sich bei einem Dreieck mit den Eckpunkten
,
und
: Die Koordinaten des Schwerpunkts sind

Aufgaben
Die folgende Abbildung zeigt den Schwerpunkt eines Dreiecks:

Berechne die Koordinaten des Mittelpunkts der Strecke
, wobei
und
.
Berechne die Koordinaten des Mittelpunkts der Strecke
, wobei
und
.
Berechne:
a den Symmetriepunkt von
in Bezug auf den Punkt
,
b den Symmetriepunkt von
in Bezug auf den Punkt
.
a Wir bezeichnen den Symmetriepunkt von
als
. Somit ist
der Mittelpunkt der Strecke
. Wenn also
die Koordinaten
hat, dann wird
wie folgt berechnet

Außerdem haben wir
. Somit:

Wenn wir beide Gleichungen mit 2 multiplizieren, erhalten wir

Wenn wir also lösen, erhalten wir
und
. Somit ist der Symmetriepunkt
.
b Analog dazu bezeichnen wir den Symmetriepunkt als
. Also berechnen wir
wie folgt

Außerdem haben wir
, weshalb

Wenn wir beide Gleichungen mit 2 multiplizieren, erhalten wir

Wir lösen und erhalten
und
. Der Symmetriepunkt lautet somit
.
Bestimme die Koordinaten des Schwerpunkts für:
a ein Dreieck mit den Eckpunkten
,
und
,
b ein Dreieck mit den Eckpunkten
,
und
.
In dieser Aufgabe brauchen wir nur die Formel für den Schwerpunkt eines Dreiecks zu verwenden. Also:
a Für den ersten Punkt gilt

b Für den zweiten Punkt gilt

Berechne die Punkte
und
, die die Strecke
mit den Anfangs- und Endpunkten
und
in drei gleiche Teile teilen.
Wir stellen fest, dass wir die Punkte
und
bestimmen müssen

1 Um den ersten Punkt zu bestimmen, beachten wir:
,
da die Strecke des Nenners doppelt so groß ist. Wir verwenden also die Formel:

2 Für den zweiten Punkt gilt:
,
da in diesem Fall die Strecke des Zählers doppelt so groß ist. Wir verwenden also die Formel:

Somit lauten die Punkte
und
.
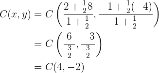
Ermittle die Koordinaten des Punkts
.
ist hierbei der Mittelpunkt von
und gegeben ist der Punkt
.
Wir schreiben die Koordinaten des Punkts
als
. Somit wird
wie folgt berechnet

Außerdem haben wir
. Und somit die Gleichungen

Wenn wir die Gleichungen mit 2 multiplizieren, erhalten wir

Wenn wir also lösen, erhalten wir
und
. Somit lautet der Punkt

Sieh dir die Strecke
mit den Anfangs- und Endpunkten
und
an. Bestimme die Koordinaten des Punkts
, der die Strecke
in zwei Teile teilt.
ist die Hälfte von
.
Da
die Hälfte von
ist, erhalten wir

Wir wenden also die Formel an:

Somit lautet der Punkt
.
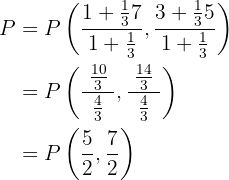
Wenn die Strecke
mit den Anfangs- und Endpunkten
und
in vier gleiche Teile geteilt wird, wie lauten dann die Koordinaten der jeweiligen Punkte?
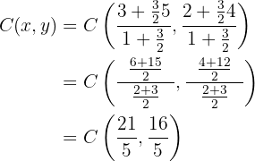
Wir suchen die 3 Punkte
,
und
sowie

Sieh dir hierzu folgende Abbildung an:

1 Für die Berechnung von
gilt:
,
da die Strecke von
nach
ein Drittel der Strecke von
nach
beträgt. Wir wenden also die Formel an, um
zu berechnen:

2 Wir stellen fest, dass
der Mittelpunkt zwischen
und
. Wir berechnen also wie folgt:

3 Für
erhalten wir schließlich
,
da die Strecke von
nach
dreimal so lang ist wie die Strecke von
nach
. Wir verwenden also die Formel, um
zu berechnen:

Deshalb lauten die Punkte

Betrachten wir ein Dreieck, dessen zwei Eckpunkte
und
sind. Wenn der Schwerpunkt des Dreiecks der Punkt
ist, wie lauten dann die Koordinaten des dritten Eckpunkts
?
Wir bezeichnen die Koordinaten von
als
. Somit wied der Schwerpunkt wie folgt berechnet

Wir haben aber auch
, weshalb

Wir multiplizieren mit 3 und erhalten

Daraus folgt, dass
und
. Somit ist der Eckpunkt
der Punkt

Gegeben sind die Punkte
und
. Finde einen Punkt
, der kollinear mit den Punkten
und
ist, und für den gilt:

Die Formel, die wir für Mittelpunkte oder Punkte, die eine Strecke in einem bestimmten Verhältnis teilen, haben, wird immer für kollineare Punkte verwendet. Daher wenden wir diese Formel an.
Außerdem haben wir bereits das Verhältnis
, sodass wir die Formel anwenden können:

Somit ist der Punkt 

Mit KI zusammenfassen:








