Das gemischte Produkt —auch Spatprodukt genannt— kann nur für Vektoren in der kartesischen Ebene definiert werden. Wenn
und
Vektoren im kartesischen Reaum sind, dann wird ihr gemischtes Produkt, dargestellt als
, als Skalarprodukt des ersten Vektors
und dem resultierenden Vektorprodukt aus
und
definiert:
Berechnung des gemischten Produkts durch Determinanten
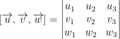
Eine nützliche Methode zur Berechnung des gemischten Produkts besteht darin, eine Matrixanordnung mit den Koordinaten der Vektoren zu erstellen und deren Determinante zu berechnen:
und somit

Beispiel
1 Berechne das gemischte Produkt der Vektoren
und 
Eigenschaften des gemischten Produkts
1 Das gemischte Produkt ändert sich nicht, wenn seine Faktoren zyklisch ausgetauscht werden:
2 Wenn man die Reihenfolge zweier Vektoren im gemischten Produkt vertauscht, erhält man denselben Wert bis auf ein Vorzeichen:
3 Wenn die Dreiergruppe von Vektoren nicht linear unabhängig ist, d. h. wenn die Vektoren paarweise koplanar sind, ist das gemischte Produkt gleich 0.
Analytische Darstellung des Volumens eines Parallelepipeds
Der Betrag des gemischten Produkts dreier Vektoren entspricht dem Volumen des Parallelepipeds, das durch diese gebildet wird. Dieser geometrische Körper entsteht, indem jeder der Vektoren als seine Länge, Breite und Höhe betrachtet wird:

Beispiel
1 Berechne das Volumen des Parallelepipeds, das durch folgende Vektoren gebildet wird
y 
Berechnung des Volumens eines Tetraeders anhand des gemischten Produkts
Wenn man den Quader unter Berücksichtigung der Diagonalen seiner oberen und unteren Grundfläche in zwei Prismen mit dreieckiger Grundfläche unterteilt, entspricht das Volumen jedes dreieckigen Prismas der Hälfte des Volumens des Quaders. Da nun das Volumen einer Pyramide mit dreieckiger Grundfläche (einem Tetraeder) ein Drittel des Volumens des sie umschreibenden dreieckigen Prismas beträgt, entspricht ihr Volumen einem Sechstel des Volumens des ursprünglichen Parallelogramms. Wenn also die Vektoren bekannt sind, die ein Parallelepiped bilden, entspricht das Volumen des Tetraeders, das es bildet, einem Sechstel des Betrags seines gemischten Produkts.
Wenn wir andererseits die Koordinaten der Eckpunkte
des Tetraeders haben, können wir die drei Vektoren, die es bilden, ermitteln und sein Volumen berechnen:
Beispiel
1Berechne das Volumen des Tetraeders, dessen Eckpunkte folgende Punkte sind
y 

Mit KI zusammenfassen:








