In der karthesischen Ebene ist das Skalarprodukt — auch Punktprodukt oder inneres Produkt genannt — aus zwei Vektoren
und
eine positive reelle Zahl, die dem Produkt aus ihren Beträgen und dem Kosinus des Winkels
, den sie bilden, entspricht
und in seiner analytischen Darstellung ist es äquivalent zur Summe des Produkts seiner koordinatenweisen Einträge:
Im kartesischen Raum entspricht die geometrische Interpretation des Skalarprodukts dem Winkel
, der in der Ebene gebildet wird, die die Vektoren enthält. Darüber hinaus wird der Betrag eines jeden Vektors auf die gleiche Weise berechnet, jedoch unter Berücksichtigung einer weiteren Koordinate. Der Betrag eines Vektors wird auch als Norm bezeichnet:
Zum Beispiel ist der Betrag des Vektors 
Formeln für Skalarprodukte im Raum
Das Skalarprodukt für zwei Vektoren
und
im karthesischen Raum ist gegeben durch
und seine analytische Darstellung als
Und der Winkel
als
Beispiel:
1 Ermittle das Skalarprodukt der Vektoren 
2 Berechne die Beträge der Vektoren
und 
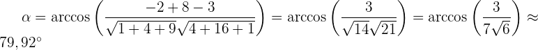
3 Ermittle den Winkel, den die Vektoren
und 
Verallgemeinerungen des Skalarprodukts im Raum
Orthogonale Vektoren
Wie in der kartesischen Ebene sind zwei Vektoren orthogonal, wenn ihr Skalarprodukt gleich 0 ist. Somit ist
. Also sind die Vektoren
und
orthogonal
Aufgabe:
Berechne die Werte für
, sodass der Vektor
orthogonal zu den Vektoren
und
ist.
Und somit ist
.
Anmerkung: Wenn die Vektoren
und
parallel sind, beträgt der entstehende Winkel
. Somit ist
und
.
Anmerkung: Wenn die Vektoren
und
einen Winkel von
bilden, ist
. Somit ist
.
Rechengesetze für das Skalarprodukt
1 Kommutativ.
2 Assoziativ hinsichtlich der Multiplikation mit einem Skalar.
3 Distributiv hinsichtlich der Summe der Vektoren.
4 Da der Vektor ungleich 0 ist, ist das Skalarprodukt immer größer als 0.
Geometrische Interpretation des Skalarprodukts
Bei zwei Vektoren und der Betrachtung der Ebene, in der sie liegen, kann das Skalarprodukt als das Produkt des Moduls des einen Vektors mit dem Modul der Abbildung des anderen Vektors auf ihn interpretiert werden. Bei zwei Vektoren und der Betrachtung der Ebene, in der sie liegen, kann das Skalarprodukt als das Produkt aus dem Betrag des einen Vektors und dem Betrag der Abbildung des anderen Vektors auf diesen interpretiert werden.

Da
wenden wir die trigonometrischen Funktionen an
Somit ist
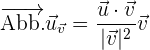
die Abbildung des Vektors
auf den Vektor 
und die Vektorprojektion von
auf
von einem Vektor mit dem Betrag der Einheit parallel zu
:
Aufgabe:
Gegeben sind die Vektoren
und
. Berechne:
a) Die Beträge von
und
.
b) Das Skalarprodukt von
und
.
c) Den Winkel
, den sie bilden.
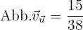
d) Die Abbildung von
auf
.
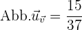
e) Die Abbildung von
auf
.
f) Berechne den Wert von
, sodass die Vektoren
und
zueinander orthogonal sind.
Richtungskosinus einer Orthonormalbasis
In einer Orthonormalbasis sind die Richtungskosinus des Vektors
die Kosinus der Winkel, die
mit jedem der Vektoren der Basis bildet.Betrachtet man beispielsweise die Standardbasis
, so ergibt sich:
,
wobei gilt, dass
Aufgabe:
Bestimme die Richtungskosinus des Vektors
hinsichtlich der Standardbasis und zeige, dass ihre Summe 1 ist.

Mit KI zusammenfassen:








