Definition von karthesischen Koordinaten und Polarkoordinaten
In einem orthonormalen Bezugssystem entspricht jedem Punkt
in der Ebene ein Vektor
, so dass:

Der Vektor
wird normalerweise wie folgt dargestellt:
Die Koeffizienten
und
der Linearkombination werden als die Koordinaten des Punktes
bezeichnet. Die Koordinate
heißt Abszisse und die Koordinate
Ordinate.
Da die Linearkombination eindeutig ist, entspricht jeder Punkt einem Zahlenpaar und jedes Zahlenpaar einem Punkt.
Wenn der Betrag des Vektors
und der Winkel
, der mit der Achse
gebildet wird, bekannt sind, sagt man, dass der Vektor mit Polarkoordinaten angegeben ist.

Umwandeln von Koordinaten
Um polare in kartesische Koordinaten umzuwandeln, nutzen wir die folgenden Formeln:
Beispiel:
in karthesische Koordianten umwandeln
1 Wir haben
und 
2 Wir berechnen die Koordinate 
3 Wir berechnen die Koordinate 
In karthesischen Koordinaten ausgedrückt lautet der Ausdruck
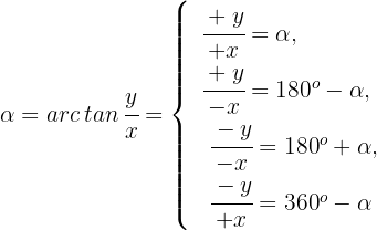
Um kartesische in polare Koordinaten umzuwandeln, nutzen wir die folgenden Formeln:
Betrag
Argument oder Winkel
Beispiel:
in Polarkoordianten umwandeln
1 Wir haben
und 
2 Wir berechnen den Betrag
3 Wir berechnen das Argument
In Polarkoordinaten ausgedrückt lautet der Ausdruck
Aufgaben zu karthesischen Koordinaten und Polarkoordinaten
Wandle die folgenden in Polarkoordinaten ausgedrückten Vektoren in kartesische Koordinaten um

1 Wir haben
und 
2 Wir berechnen die Koordinate 

3 Wir berechnen die Koordinate 

Der Ausdruck in kartesischen Koordinaten lautet also


1 Wir haben
und 
2 Wir berechnen die Koordinate 

3 Wir berechnen die Koordinate 

Der Ausdruck in kartesischen Koordinaten lautet also


1 Wir haben
und 
2 Wir berechnen die Koordinate 

3 Wir berechnen die Koordinate 

Der Ausdruck in kartesischen Koordinaten lautet also


1 Wir haben
und 
2 Wir berechnen die Koordinate 

3 Wir berechnen die Koordinate 

Der Ausdruck in kartesischen Koordinaten lautet also


1 Tenemos que
y 
2 Wir berechnen den Betrag

3 Wir berechnen das Argument

Der Ausdruck in Polarkoordinaten lautet also


1 Wir haben
und 
2 Wir berechnen den Betrag

3 Wir berechnen das Argument

Der Ausdruck in Polarkoordinaten lautet also


1 Wir haben
und 
2 Wir berechnen den Betrag

3 Wir berechnen das Argument

Der Ausdruck in Polarkoordinaten lautet also


1 Wir haben
und 
2 Wir berechnen den Betrag

3 Wir berechnen das Argument

Der Ausdruck in Polarkoordinaten lautet also


1 Wir haben
und 
2 Wir berechnen den Betrag

3 Wir berechnen das Argument

Der Ausdruck in Polarkoordinaten lautet also


1 Wir haben
und 
2 Wir berechnen den Betrag

3 Wir berechnen das Argument

Der Ausdruck in Polarkoordinaten lautet also

Mit KI zusammenfassen:








