Ist das ein Monom?
Bestimme, ob es sich bei den folgenden Ausdrücken um Monome handelt oder nicht. Falls ja, gib den Grad und Koeffizienten des Monoms an.


Monom; Grad 3 und Koeffizient 3.


Kein Monom, da der Exponent keine natürliche Zahl ist.


Kein Monom, da es sich um eine Summe handelt.


Monom; Grad 1 und Koeffizient
.


Monom; Grad 4 und Koeffizient
.


Kein Monom, da es keinen natürlichen Exponenten hat.


Kein Monom, da die Variable unter einer Wurzel steht.
Rechenoperationen mit Monomen
Führe die folgenden Rechenoperationen mit Monomen durch:

1 

2 

3 

4 

5 

6 

7 

8 

9 

10 

11 
Polynome: ja oder nein?


Polynom; Grad 5 und konstantes Glied 5


Kein Polynom, da die Variable des ersten Monoms unter einer Wurzel steht.


Polynom; Grad 4 und konstantes Glied 1


Kein Polynom, da der Exponent des ersten Monoms keine natürliche Zahl ist.


Polynom; Grad 5 und konstantes Glied 0


Kein Polynom, da der Exponent des zweiten Monoms keine naürliche Zahl ist.


Polynom; Grad 3 und konstantes Glied 
Mathematische Schreibweise
Schreibe:
Ein geordnetes Polynom ohne konstantes Glied.
Ein geordnetes Polynom ohne konstantes Glied.

Ein nicht geordnetes, vollständiges Polynom.
Ein nicht geordnetes, vollständiges Polynom.

Ein vollständiges Polynom ohne konstantes Glied.
Ein vollständiges Polynom ohne konstantes Glied.
Nicht möglich
Ein vollständiges Polynom vom Grad 4 mit ungeraden Koeffizienten.
Ein vollständiges Polynom vom Grad 4 mit ungeraden Koeffizienten.

Rechnen mit Polynomen
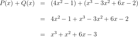
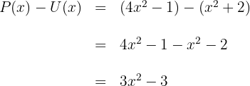
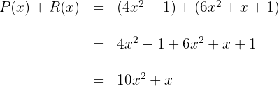
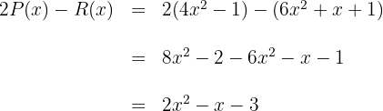
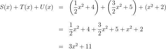
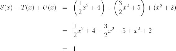
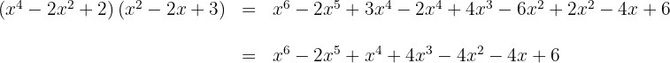
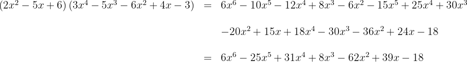
Folgende Polynome sind gegeben:












Multiplikation






Den Zahlenwert eines Polynoms bestimmen
Bestimme den Zahlenwert des Polynoms
, für:
.
Bestimme den Zahlenwert des Polynoms
, für:
.
1
2
3
Berechnen








Division von Polynomen
Dividieren:



Quotient
; Rest 



Quotient
; Rest 



Quotient
; Rest 
Horner-Schema
Anwendung des Horner-Schemas:



Quotient
; Rest 



Quotient
; Rest 



Quotient
; Rest 
Mit KI zusammenfassen:








