Binome zum Quadrat
1 
2 
3 
4 
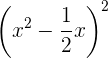
Ein Binom zum Quadrat ist gleich der erste Term zum Quadrat, plus oder minus zwei mal der erste Term mal der zweite Term, plus das Quadrat des ersten Terms. Wir lösen jede Aufgabe mit der entsprechenden Formel:

1


2


3


4


Binome hoch 3
1 
2 
3 
4 
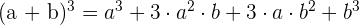
Ein Binom hoch 3 ist gleich der erste Term hoch 3, plus 3 mal das Quadrat des ersten Terms mal den zweiten Term, plus 3 mal den ersten Term mal der zweite Term zum Quadrat, plus den zweiten Term hoch 3.


1


2


3


4


Produkte aus Binomen
1 
2 
3 
4 
Eine Summe mal Differenz ist gleich die Differenz der Quadrate.
1

2

3


4


Weitere binomische Formeln
1 
2 
3 
4 
Löse folgende Ausdrücke: Ein Trinom zum Quadrat ist gleich der Erste zum Quadrat, plus der Zweite zum Quadrat, plus der Dritte zum Quadrat, plus 2 mal das Produkt aus dem Ersten und dem Zweiten, plus 2 mal das Produkt aus dem Ersten und dem Dritten, plus 2 mal das Produkt aus dem Zweiten und dem Dritten.
Die Auflösung einer Summe hoch 3 sieht wie folgt aus:

1



2
Somit:
entspricht
und
entspricht 

3
Die Auflösung einer Differenz hoch 3 sieht wie folgt aus:

Somit:

4
Dieses Produkt kann gebildet werden, indem man jeden der Summanden des ersten Faktors mit jedem der Summanden des zweiten Faktors multipliziert.

Es kann auch als das Produkt zweier Binome mit einem gemeinsamen Term dargestellt werden:



Mit KI zusammenfassen:
