Kapitel
Ein Vieleck ist in einen Kreis eingeschrieben, wenn alle seine Eckpunkte Punkte des Kreises sind und alle seine Seiten innerhalb des von ihm definierten Kreises eingeschlossen sind.

- Jedes regelmäßige Vieleck ist in einen Kreis eingeschrieben.
- Der Mittelpunkt eines eingeschriebenen Vielecks ist der Mittelpunkt des darin eingeschriebenen Kreises.
- Der Radius des eingeschriebenen Vielecks ist der Radius des darin eingeschriebenen Kreises.
Berechne die Seite eines eingeschriebenen gleichseitigen Dreiecks

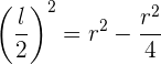
Wenn du ein eingeschriebenes gleichseitiges Dreieck hast, kannst du das Maß seiner Seite durch einfache Anwendung des Satzes von Pythagoras herausfinden.
Wie du in der obigen Abbildung sehen kannst, bildet das rote Dreieck mit der Grundseite gleich der halben Seite des Dreiecks ein rechtwinkliges Dreieck, dessen Hypotenuse gleich dem Radius ist.
Du führst die Berechnungen fort, um das Maß der Seite zu ermitteln:






Beispiel für die Berechnung der Seite eines Dreiecks
Bestimme die Seite eines gleichseitigen Dreiecks, das in einen Kreis mit dem Radius cm eingeschrieben ist.




Berechne die Seite eines eingeschriebenen Quadrats

In der obigen Abbildung ist zu sehen, dass die Seiten eines eingeschriebenen Quadrats ein gleichschenkliges, rechtwinkliges Dreieck mit der Hypotenuse bilden.
Mit dem Satz des Pythagoras kannst du diese Seite berechnen:

Beispiel für die Berechnung der Seite eines Quadrats
Finde die Seite eines Quadrats, das in einen Kreis mit dem Radius cm eingeschrieben ist.


Berechne das Apothema des eingeschriebenen Sechsecks

In der obigen Abbildung kannst du sehen, dass die Seite des grünen Dreiecks der Radius ist.
Mit dem Satz des Pythagoras kannst du das Apothema berechnen.


Übungsbeispiel für die Berechnung eines Apothemas
Berechne das Apothema eines Sechsecks, das in einen Kreis mit Radius 4 cm eingeschrieben ist.


