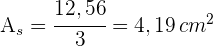
Ermittle die Seite eines gleichseitigen Dreiecks, dessen Umfang gleich dem eines Quadrats mit einer Seitenlänge von
ist. Sind ihre Flächen gleich groß?
1 Wir stellen das Quadrat grafisch dar

2 Sein Umfang ist
. Um die Fläche zu berechnen, wenden wir an:

3 Das gleichseitige Dreieck hat drei gleiche Seiten. Wenn sein Umfang also
beträgt, dann misst jede seiner Seiten
.

4 Um den Flächeninhalt zu ermitteln, müssen wir seine Höhe kennen. Dazu teilen wir das gleichseitige Dreieck in zwei rechtwinklige Dreiecke und wenden den Satz des Pythagoras an

5 Wir berechnen den Flächeninhalt wie folgt

Die beiden Figuren haben also den gleichen Umfang, aber unterschiedliche Flächen.
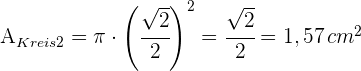
Berechne die Fläche eines gleichseitigen Dreiecks, das in einen Kreis mit dem Radius
eingeschrieben ist.
1 Wir stellen das Problem grafisch dar

2 Der Mittelpunkt des Kreises ist das Baryzentrum, also ist
und man erhält

3 Um den Flächeninhalt des Dreiecks zu ermitteln, müssen wir seine Grundseite kennen. Dazu zerlegen wir das gleichseitige Dreieck in zwei rechtwinklige Dreiecke und wenden den Satz des Pythagoras an

4 Wir berechnen seinen Flächeninhalt wie folgt

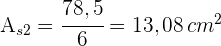
Bei einem gleichseitigen Dreieck mit einer Seitenlänge von
ist die Fläche eines der Sektoren zu bestimmen, die durch den Umkreis und die Radien durch die Eckpunkte bestimmt werden.
1 Wir stellen das Problem grafisch dar

2 Der Mittelpunkt des Kreises ist das Baryzentrum, also ist
und man erhält
3 Um den Radius zu bestimmen, müssen wir die Höhe kennen. Dazu teilen wir das gleichseitige Dreieck in zwei rechtwinklige Dreiecke und wenden den Satz des Pythagoras an

4 Wir berechnen den Radius

5 Somit ist die gesuchte Fläche

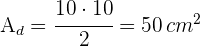
Bestimme die Fläche des Quadrats, das in einen Kreis der Länge
eingeschrieben ist.
1 Wir stellen das Problem grafisch dar

2 Wir müssen eine Seite des Quadrats kennen. Dazu berechnen wir zunächst den Radius aus dem Umfang

3 Um die Seite des Quadrats zu ermitteln, betrachten wir ein gleichschenkliges rechtwinkliges Dreieck, dessen gleiche Seiten die Radien des Kreisumfangs sind

4 Somit ist die Fläche des Quadrats

In ein Quadrat mit einer Seitenlänge von
ist ein Kreis eingeschrieben und in diesen Kreis ein Quadrat und in dieses ein weiterer Kreis. Ermittle die Fläche zwischen dem letzten Quadrat und dem letzten Kreis.
1 Wir stellen das Problem grafisch dar

2 Wir müssen die Radien der Kreise kennen; dazu stellen wir fest, dass die Seite des Quadrats mit der Länge
gleich dem Durchmesser des Inkreises ist

3 Der Durchmesser des ersten Kreises ist gleich der Diagonale des zweiten Quadrats. Durch Anwendung des Satzes des Pythagoras erhält man die Seitenlänge des zweiten Quadrats

4 Die Fläche des zweiten Quadrats beträgt also

5 Der Durchmesser des zweiten Kreises ist gleich der Seite des zweiten Quadrats

6 Die Fläche des zweiten Kreises beträgt

7 Die gesuchte Fläche ist also

Berechne den Flächeninhalt des Kreisrings, der durch den Inkreis und den Umkreis eines Quadrats mit der Diagonale
bestimmt wird.
1 Wir stellen das Problem grafisch dar

2 Wir müssen die Radien der Kreise ermitteln; dazu müssen wir feststellen, dass der Durchmesser des Umkreises gleich der Diagonale des Quadrats ist

3 Der Durchmesser des Inkreises ist gleich der Seite des Quadrats und nach dem Satz des Pythagoras erhält man

4 Der Flächeninhalt des Kreisrings ist

In einen Kreis mit dem Radius
wird ein Quadrat eingeschrieben und an den Seiten des Quadrats und nach außen werden gleichseitige Dreiecke konstruiert. Bestimme den Flächeninhalt des so gebildeten Sterns.
1 Wir stellen das Problem grafisch dar

2 Wir müssen die Seitenlänge des Quadrats ermitteln; dazu stellen wir fest, dass der Durchmesser des Umfangs gleich der Diagonale des Quadrats ist. Mit dem Satz des Pythagoras erhalten wir

3 Die Fläche des Quadrats ist

4 Um den Flächeninhalt des gleichseitigen Dreiecks zu ermitteln, teilen wir es in zwei rechtwinklige Dreiecke und wenden den Satz des Pythagoras an, um die Höhe zu bestimmen

5 Der Flächeninhalt des Dreiecks ist

6 Der Flächeninhalt des Stern ist

Der Umfang eines gleichschenkligen Trapezes beträgt
, die Grundseiten messen
bzw.
m. Berechne die nicht parallelen Seiten und den Flächeninhalt.
1 Wir stellen das Problem grafisch dar

2 Da sich die Grundseiten zu
addieren, ergeben sich die Seiten zu
, sodass jede Seite
misst. Um die Höhe zu bestimmen, konstruieren wir ein rechtwinkliges Dreieck wie in der Abbildung. Wir wenden den Satz des Pythagoras an und erhalten

3 Wir berechnen den Flächeninhalt des Trapezes

Verlängert man die nicht parallelen Seiten eines gleichschenkligen Trapezes, so entsteht ein gleichseitiges Dreieck mit einer Seitenlänge von
. Berechne den Flächeninhalt des Trapezes, wenn du weißt, dass das Trapez die halbe Höhe des Dreiecks hat.
1 Wir stellen das Problem grafisch dar

2 Um die Höhe des Dreiecks zu bestimmen, konstruieren wir ein rechtwinkliges Dreieck, dessen Grundseite die Hälfte seiner Höhe ist. Wir wenden den Satz des Pythagoras an und erhalten

3 Wir berechnen die Höhe
des Trapezes

4 Wir berechnen den Flächeninhalt des Trapezes

Die Fläche eines Quadrats ist
. Berechne die Fläche des regelmäßigen Sechsecks mit demselben Umfang.
1 Wir stellen das Problem grafisch dar

2 Um den Umfang des Quadrats zu bestimmen, müssen wir den Wert einer seiner Seiten berechnen

3 Wir berechnen das Apothema des Sechsecks. Dazu benötigen wir die Seite des Sechsecks 

4 Wir berechnen die Fläche des Sechsecks

Die Oberfläche eines Tisches besteht aus einem quadratischen Mittelteil einer Seitenlänge von
und zwei Halbkreisen, die an zwei gegenüberliegenden Seiten angebracht sind. Berechne den Flächeninhalt.
1 Wir stellen das Problem grafisch dar

2 Um die Fläche des Tisches zu bestimmen, müssen wir die Fläche des Quadrats und des Kreises ermitteln
3 Wir berechnen den Flächeninhalt des Quadrats

4 Wir berechnen den Flächeninhalt des Kreises mit dem Radius 

5 Der Flächeninhalt des Tisches ist

Berechne die Fläche eines Kreissektors, dessen Sehne die Seite des eingeschriebenen gleichseitigen Dreiecks ist, wobei
der Radius des Kreises ist.
1 Wir stellen das Problem grafisch dar

2 Um die Fläche des grün markierten Sektors zu kennen, genügt es, festzustellen, dass der Kreis in drei gleiche Sektoren von
unterteilt ist
3 Wir berechnen den Flächeninhalt des Kreises

4 Wir berechnen die Fläche des Kreissektors

Ermittle die Fläche des Kreissektors, dessen Sehne die Seite des eingeschriebenen Quadrats ist, wobei
der Radius des Kreises ist.
1 Wir stellen das Problem grafisch dar

2 Um die Fläche des grün markierten Sektors zu kennen, genügt es, festzustellen, dass der Kreis in vier gleiche Sektoren von
unterteilt ist
3 Wir berechnen den Flächeninhalt des Kreises

4 Wir berechnen den Kreissektor

Zeichne die Radien
und
zweier konzentrischer Kreise mit dem Radius
bzw.
, die einen Winkel von
bilden. Berechne den Flächeninhalt des gebildeten kreisförmigen Trapezes.
1 Wir stellen das Problem grafisch dar

2 Um die Fläche des grün markierten Sektors zu ermitteln, genügt es, festzustellen, dass der Kreis in sechs gleiche Sektoren von
unterteilt ist
3 Wir berechnen die Fläche jedes Kreises


4 Wir berechnen die Fläche der einzelnen Sektoren


5 Wir berechnen den Flächeninhalt des kreisförmigen Trapezes

Wir berechnen die schattierte Fläche. Die Seite des Quadrats misst
und der Radius des Kreises beträgt
.
1 Wir stellen das Problem grafisch dar

1 Wir berechnen die Fläche
des Quadrats

2 Wir berechnen die Fläche
des Kreises

3 Wir berechnen die schattierte Fläche

Berechne den Flächeninhalt des schattierten Bereichs, wenn der Radius des größeren Kreises
und der Radius der kleinen Kreise
beträgt.
1 Wir stellen das Problem grafisch dar

2 Wir berechnen die Fläche
des größeren Kreises

3 Wir berechnen die Fläche
des kleinen Kreises

4 Wir berechnen die schattierte Fläche

Berechne den Flächeninhalt der schattierten Fläche, wobei
,
ein Quadrat ist und
und
Kreisbögen mit den Mittelpunkten
und
sind.

1 Der schattierte Bereich besteht aus zwei Kreissegmenten:


2 Wir berechnen die Fläche
des Sektors

3 Wir berechnen den Flächeninhalt des Dreiecks

4 Wir berechnen die Fläche des Kreissegments

5 Die schattierte Fläche ist

In ein regelmäßiges Sechseck mit einer Seitenlänge von
wird ein Kreis eingeschrieben und von einem weiteren Kreis umschrieben. Berechne den Flächeninhalt des so gebildeten Kreisrings.
1 Wir stellen das Problem grafisch dar

2 Wir berechnen den Radius des umschriebenen Kreises und stellen dazu fest, dass das Sechseck in sechs gleiche gleichseitige Dreiecke unterteilt ist, sodass

3 Wir berechnen den Radius des Inkreises, der mit der Höhe des gleichseitigen Dreiecks übereinstimmt

4 Wir berechnen die Fläche des Kreisrings, die sich aus der Differenz der Flächen der Kreise ergibt

Die Sehne eines Kreises misst
und ist
vom Mittelpunkt entfernt. Berechne den Flächeninhalt des Kreises.
1 Wir stellen das Problem grafisch dar

2 Wir betrachten das in der Abbildung dargestellte rechtwinklige Dreieck und berechnen mithilfe des Satzes des Pythagoras den Radius

3 Wir berechnen den Flächeninhalt des Kreises

Die Schenkel eines rechtwinkligen Dreiecks, das in einen Kreis eingeschrieben ist, messen
bzw.
. Berechne den Flächeninhalt des Kreises.
1 Wir stellen das Problem grafisch dar

2 Die Hypotenuse fällt mit dem Durchmesser des Kreises zusammen. Mit dem Satz des Pythagoras berechnen wir den Radius

3 Wir berechnen den Flächeninhalt des Kreises

Mit KI zusammenfassen:
