Das rechtwinklige Dreieck und seine Elemente
Ein rechtwinkliges Dreieck ist ein Dreieck mit einem rechten Winkel und zwei spitzen Winkeln. Die Seiten eines rechtwinkligen Dreiecks werden als Katheten und Hypotenuse bezeichnet.
Hypotenuse
Die Hypotenuse ist die dem rechten Winkel gegenüberliegende Seite und die längste Seite des Dreiecks.
Katheten
Die Katheten sind die Seiten gegenüber den spitzen Winkeln und sind die kürzeren Seiten des Dreiecks.

In der obigen Abbildung sehen wir::
: Hypotenuse,
: Katheten,
: Abbildung der Kathete
auf die Hypotenuse,
: Abbildung der Kathete
auf die Hypotenuse.
Sätze mit rechtwinkligen Dreiecken
Kathetensatz
"In jedem rechtwinkligen Dreieck ist eine Kathete das proportionale Mittel zwischen der Hypotenuse und ihrer Abbildung auf diese."
Alternativ können wir dies auch wie folgt schreiben
"In einem rechtwinkligen Dreieck ist das Quadrat einer der Katheten gleich dem Produkt ihrer Abbildung auf die Hypotenuse und der Hypotenuse selbst."

Aus den vorstehenden Aussagen lassen sich folgende Gleichungen ableiten:
Höhensatz
"In einem rechtwinkligen Dreieck ist die Höhe relativ zur Hypotenuse das proportionale Mittel zwischen den beiden Segmenten, die diese teilen."
oder auch
"In einem rechtwinkligen Dreieck ist das Quadrat der Höhe, gemessen an der Hypotenuse, gleich dem Produkt der Abbildungen der beiden Katheten auf die Hypotenuse."

Aus den vorstehenden Ausführungen geht hervor, dass
Satz des Pythagoras
"In jedem rechtwinkligen Dreieck ist das Quadrat der Hypotenuse gleich der Summe der Quadrate der Katheten."

Aus der obigen Aussage ergibt sich Formel 
Aufgaben mit rechtwinkligen Dreiecken
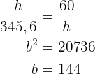
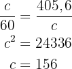
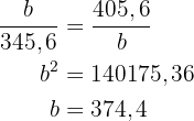
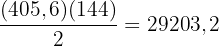
1 Die Hypotenuse eines rechtwinkligen Dreiecks misst 405,6 m und die Abbildung einer Kathete auf sie 60 m. Berechne: Die Katheten, die Höhe relativ zur Hypotenuse und die Fläche des Dreiecks.

Der Kathetensatz besagt
da
,
Für die Höhe relativ zur Hypotenuse wenden wir den Höhensatz an
Und schließlich die Fläche
2 Berechne die Seiten eines rechtwinkligen Dreiecks, wenn bekannt ist, dass die Abbildung einer der Katheten auf die Hypotenuse
cm beträgt und die relative Höhe derselben
cm beträgt.

Dazu wenden wir zunächst den Höhensatz an, um n zu ermitteln
damit haben wir
und für die fehlenden Seiten wenden wir den Kathetensatz an
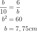
3 Die Hypotenuse eines rechtwinkligen Dreiecks misst 30 cm und die Abbildung einer Kathete darauf 10,8 cm. Berechne die Kathete der Abbildung.

Wir wenden den Kathetensatz an
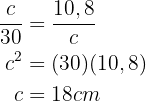
4 In einem rechtwinkligen Dreieck betragen die Abbildungen der Katheten auf die Hypotenuse 4 und 9 Zentimeter. Berechne die Höhe relativ zur Hypotenuse.

Wir wenden den Höhensatz an und erhalten

Mit KI zusammenfassen:








