Löse die folgenden Probleme:
1Die Hypotenuse eines rechtwinkligen Dreiecks,
, misst
und die Abbildung ihrer Kathete
auf sie misst
.

Wie lang ist die Kathete
?
.
Dieses Feld ist erforderlich.
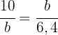
Wir wenden den Kathetensatz an:

Wir bestimmen 

Die Kathete
misst
.
Wie lang ist die Kathete
? 
Dieses Feld ist erforderlich.
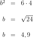
Wir wenden den Satz des Pythagoras an

Die Kathete
misst
.
2Die Abbildungen der Katheten
und
eines rechtwinkligen Dreiecks messen
und
.

Wie lang ist die Kathete
? Runde auf eine Dezimalstelle. 
Dieses Feld ist erforderlich.
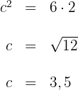
Wir wenden den Kathetensatz an:

Wir bestimmen 

Die Kathete
misst
.
Wie lang ist die Kathete
? 
Dieses Feld ist erforderlich.
Wir wenden erneut den Kathetensatz an

Wir bestimmen 

Die Kathete
misst
.
3Die Abbildung der Kathete
eines rechtwinkligen Dreiecks misst
und seine Höhe
.

Wie lang ist die Kathete
? Runde auf eine Dezimalstelle. 
Dieses Feld ist erforderlich.
Wir wenden den Satz des Pythagoras an:

Die Kathete
misst
.
Wie lang ist die Kathete
? 
Dieses Feld ist erforderlich.
Wir wenden den Kathetensatz an

Wir bestimmen 

Die Kathete
misst
.
4Die Kathete
eines rechtwinkligen Dreiecks misst
und die Kathete
misst
.

Wie lang ist die Hypotenuse
dieses Dreiecks?
.
Dieses Feld ist erforderlich.
Wir wenden den Satz des Pythagoras an

Die Hypotenuse
misst
.
Gib die Länge der Abbildungen der Katheten
und
an, gerundet auf zwei Dezimalstellen.
.
.
Dieses Feld ist erforderlich.
Wir wenden den Kathetensatz an, um die Maße der Abbildungen zu berechnen:

Wir bestimmen 

Die Abbildung der Kathete
misst
.

Wir bestimmen 

Die Abbildung der Kathete
misst
.
Wie hoch ist die Höhe dieses Dreiecks?
.
Dieses Feld ist erforderlich.
Um die Höhe zu berechnen, wenden wir den Satz des Pythagoras auf eines der beiden Dreiecke an, die wir in der Abbildung sehen können. Wir nehmen zum Beispiel das kleinere Dreieck: 

Die Höhe
misst
.
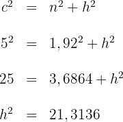
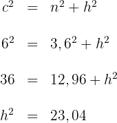
5Die Kathete
eines rechwinkligen Dreiecks misst
und seine Hypotenuse
misst
.

Wie lang ist die Kathete
dieses Dreiecks?
.
Dieses Feld ist erforderlich.
Wir wenden den Satz des Pythagoras an

Die Kathete
misst
.
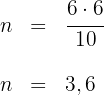
Gib die Länge der Abbildungen der Katheten
und
an, gerundet auf zwei Dezimalstellen.
.
.
Dieses Feld ist erforderlich.
Wir wenden den Kathetensatz an, um die Länge der Abbildungen zu erhalten:

Wir bestimmen

Die Abbildung der Kathete
misst
.

Wir bestimmen

Die Abbildung der Kathete
misst
.
Wie hoch ist die Höhe dieses Dreiecks?
.
Dieses Feld ist erforderlich.
Um die Höhe zu berechnen, wenden wir einfach den Satz des Pythagoras auf eines der beiden Dreiecke an, die wir in der Abbildung sehen können. Nehmen wir zum Beispiel das kleinere Dreieck:


Die Höhe
misst
.
6Die Häuser von vier Freunden sind wie in der folgenden Abbildung dargestellt angeordnet. Da wir wissen, dass die Entfernung zwischen Beas und Karls Haus
beträgt und die Entfernung zwischen dem Haus von Bea und dem Haus von David
, können wir die fehlenden Entfernungen berechnen:

Entfernung zwischen Beas und Annas Haus
.
Dieses Feld ist erforderlich.
Zunächst einmal sehen wir, dass es sich um ein rechtwinkliges Dreieck handelt, sodass wir bei Bedarf den Kathetensatz anwenden können.
Entfernung zwischen Beas und Annas Haus 
Die gesuchte Entfernung ist
.

Entfernung zwischen Davids und Karls Haus
.
Dieses Feld ist erforderlich.
Entfernung zwischen Davids und Karls Haus
.

Entfernung zwischen Annas und Davids Haus
.
Dieses Feld ist erforderlich.
Entfernung zwischen Annas und Davids Haus. Wir wenden den Satz des Pythagoras an: 

7 Drei Schiffe nähern sich einem Leuchtturm, wie in der Abbildung dargestellt, und bilden dabei rechtwinklige Dreiecke. Da die Entfernung vom Leuchtturm zum Schiff 1
und die Entfernung vom Leuchtturm zum Schiff 3
beträgt, können wir folgende Entfernung berechnen:

Entfernung zwischen Schiff 1 und Schiff 2
.
Dieses Feld ist erforderlich.
Wir wenden den Satz des Pythagoras an, um die Entfernung zwischen Schiff 1 und 3 zu erhalten 

Die gesuchte Entfernung ist
.
Entfernung zwischen Schiff 1 und Schiff 3
.
Dieses Feld ist erforderlich.
Entfernung von Schiff 2 zu Schiff 3

Mit KI zusammenfassen:
