Umfang eines Dreiecks
Der Umfang eines Dreiecks ist gleich die Summe seiner drei Seiten.
| Gleichseitiges Dreieck | Gleichschenkliges Dreieck | Unregelmäßiges Dreieck |
![]() | ![]() | ![]() |
![]() | ![]() | ![]() |
Flächeninhalt eines Dreiecks
Der Flächeninhalt eines Dreiecks ist gleich Grundseite mal Höhe geteilt durch
.
Die Höhe ist die senkrechte Linie, die von einem Scheitelpunkt zur gegenüberliegenden Seite (oder deren Verlängerung) gezogen wird.

Beispiel für die Berechnung des Flächeninhalts
Berechne den Flächeninhalt des folgenden Dreiecks:

Flächeninhalt eines gleichseitigen Dreiecks

Beispiel für den Flächeninhalt eines gleichseitigen Dreiecks
Berechne den Flächeninhalt eines gleichseitigen Dreiecks von
Länge.
Flächeninhalt eines rechtwinkligen Dreiecks
Der Flächeninhalt eines rechtwinkligen Dreiecks ist gleich dem Produkt der Katheten geteilt durch
.

Beispiel für den Flächeninhalt eines rechtwinkligen Dreiecks
Berechne den Flächeninhalt eines rechtwinkligen Dreiecks, dessen Katheten
und
messen.

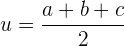
Halber Umfang
Der halbe Umfang eines Dreiecks ist gleich der Summe seiner Seiten geteilt durch
.
Er wird mit dem Buchstaben
bezeichnet.
Satz des Heron
Der Satz des Heron wird verwendet, um die Fläche eines Dreiecks mit drei bekannten Seiten zu berechnen.
Beispiel
Berechne den Flächeninhalt des Dreiecks, dessen Seiten
,
und
messen.
Umkreis eines Dreiecks

Radius des Umkreises
Inkreis eines Dreiecks

Radius des Inkreises
halber Umfang
Zwei Seiten und deren Winkel sind bekannt


Mit KI zusammenfassen:














