Kapitel
Das regelmäßige Fünfeck ist eine ebene geometrische Figur, deren fünf Seiten und Winkel gleich sind.

Unsere besten verfügbaren Mathematik-Lehrer
Die Winkel eines Fünfecks
- Die Summe der Innenwinkel eines Fünfecks ist
- Der Wert eines Innenwinkels des regelmäßigen Fünfecks ist
- Der zentrale Winkel des regelmäßigen Fünfecks beträgt
Diagonalen eines Fünfecks
Die Anzahl der Diagonalen ist

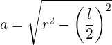
Apothema eines regelmäßigen Fünfecks

Das Apothema eines regelmäßigen Fünfecks wird durch den Satz des Pythagoras berechnet und ist:

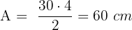
Umfang eines regelmäßigen Fünfecks
Der Umfang eines regelmäßigen Fünfecks ist das Fünffache seiner Seite.


Fläche eines regelmäßigen Fünfecks
Übungsbeispiel mit einem regelmäßigen Fünfeck
Berechne das Apothema, den Umfang und die Fläche eines regelmäßigen Fünfecks mit cm Seitenlänge und einem Radius von
cm.

- Das Apothema


- Der Umfang

- Die Fläche
