Aufgaben
Löse die folgenden linearen Gleichungen. Wenn eine Lösung ein Bruch ist, schreibe sie in der Form a/b:
1 
x = ?
2 
x = ?
3 
x = ?
4 
x = ?
5 
x = ?
6 
x = ?
Wenn du irgendwelche Zweifel hast, schau dir unsere Erklärungen zu linearen Gleichungen in unserem Theorie-Teil an.
Lösungen
1 Du hast die Gleichung
Teile die Gleichung durch 4, um die Variable x aufzulösen
2 Du hast die Gleichung
Sortiere die X-Terme auf eine und die unabhängigen Terme auf die andere Seite der Gleichung.
Subtrahiere also 2x
Addiere 3
Teile durch 3, um die Variable x aufzulösen
3 Du hast die Gleichung
Löse die Klammer auf
Sortiere die X-Terme auf eine und die unabhängigen Terme auf die andere Seite der Gleichung.
Subtrahiere 3x
Addiere 5
Teile durch 6, um die Variable x aufzulösen
4 Du hast die Gleichung
Suche das kleinste gemeinsame Vielfache der Nenner
Eine äquivalente Gleichung erhältst du, indem du das kleinste gemeinsame Vielfache durch den Nenner dividierst und die resultierende Zahl mit dem Zähler multiplizierst.
Löse die Klammern auf
Sortiere die X-Terme auf eine und die unabhängigen Terme auf die andere Seite der Gleichung.
Addiere daher 6x
Addiere dann 26
Teile durch 8, um die Variable x aufzulösen
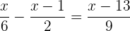
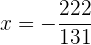
5 Du hast die Gleichung
Suche das kleinste gemeinsame Vielfache der Nenner
Eine äquivalente Gleichung erhältst du, indem du das kleinste gemeinsame Vielfache durch den Nenner dividierst und die resultierende Zahl mit dem Zähler multiplizierst.
Löse die Klammern auf
Sortiere die X-Terme auf eine und die unabhängigen Terme auf die andere Seite der Gleichung.
Subtrahiere also 12x
Subtrahiere 189
Teile durch 131, um die Variable x aufzulösen
6 Du hast die Gleichung
Löse die Klammern auf
Multipliziere aus
Suche das kleinste gemeinsame Vielfache der Nenner
Eine äquivalente Gleichung erhältst du, indem du das kleinste gemeinsame Vielfache durch den Nenner dividierst und die resultierende Zahl mit dem Zähler multiplizierst.
Sortiere die X-Terme auf eine und die unabhängigen Terme auf die andere Seite der Gleichung.
Addiere also 9x
Addiere 3
Teile durch 3, um die Variable x aufzulösen

Mit KI zusammenfassen:








