Nichtlineare Gleichungssysteme: Aufgaben

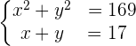
Du hast das folgende nichtlineare Gleichungssystem:

Löse das System durch Substitution. Löse zunächst eine Unbekannte von einer der Gleichungen, vorzugsweise der linearen Gleichung.

Setze dann den Wert der Unbekannten in die andere Gleichung ein:

Löse nun die resultierende Gleichung:

Wenn du dann durch 2 teilst, erhältst du die folgende quadratische Gleichung:

Die Lösung dieser Gleichung ergibt sich aus der abc-Formel

Die Lösungen der quadratischen Gleichung sind also:

Jeder der erhaltenen Werte wird in die andere Gleichung eingesetzt. Auf diese Weise erhältst du die entsprechenden Werte der anderen Unbekannten.

Die Lösungen für das Gleichungssystem sind daher:


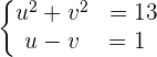
Das Gleichungssystem lautet:

Löse auch hier das Gleichungssystem durch Substitution. Entferne zuerst das
aus der ersten Gleichung:

Setze dann den Wert von
in die zweite Gleichung ein:

Also:

Löse nun die resultierende Gleichung mit Hilfe der abc-Formel:

Die Lösungen der quadratischen Gleichung sind also:

Setze schließlich die beiden Werte in die andere Gleichung ein. So erhältst du die entsprechenden Werte der anderen Unbekannten:

Die Lösungen für das nichtlineare System sind also:

In diesem Fall ist das Gleichungssystem gegeben durch:

Auch hier wird das System durch Substitution gelöst. Entferne zuerst das
aus der zweiten Gleichung:

Setze den Wert von
in die erste Gleichung ein:

Fasse nun gleiche Terme zusammen und dividiere dann durch 2:

Löse die resultierende Gleichung,

Die quadratische Gleichung hat also folgende Lösungen:

Setze die beiden Werte in die andere Gleichung ein. Auf diese Weise erhältst du die Werte der anderen Unbekannten,

Daher lauten die Lösungen:


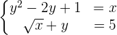
Du hast folgendes System:

Löse das System wieder durch Substitution. Das
wurde bereits in der ersten Gleichung entfernt, also setzt du den Wert von
in die zweite Gleichung ein.
Da es sich um eine radikale Gleichung handelt, quadrierst du beide Seiten der Gleichung (beachte, dass du zunächst die Wurzel auf der linken Seite der Gleichung außer Acht lässt):

Dann ergibt sich:

Also ist . Prüfe die Lösung der radikalen Gleichung
Daraus ergibt sich , weshalb eine Lösung der radikalen Gleichung ist. Setze den erhaltenen Wert in die andere Gleichung ein und du erhältst den Wert der anderen Unbekannten:
Die Lösung lautet also:

Das Gleichungssystem sieht folgendermaßen aus:

Um das Gleichungssystem zu lösen, werden zunächst zwei Variablenänderungen vorgenommen:
Ersetze durch Substitution die Variablen im System,

Jetzt hast du ein Gleichungssystem, das einfacher zu lösen ist. Dieses neue Gleichungssystem wird ebenfalls durch Substitution gelöst. Entferne das
aus der zweiten Gleichung, was
ergibt. Wenn du dies in die erste Gleichung einsetzt, erhältst du:

Wenn du diese Gleichung durch 2 teilst und Null setzt, erhältst du:

Löse die resultierende Gleichung mit Hilfe der abc-Formel:

Daraus ergibt sich:


Mache die Änderung durch Resubstitution rückgängig und jeder der erhaltenen Werte wird in die andere Gleichung eingesetzt. Dadurch erhältst du die entsprechenden Werte der anderen Unbekannten


Die Lösungen sind also:

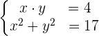
Das Produkt zweier Zahlen ist 4, und die Summe ihrer Quadratzahlen ist 17. Wie lauten diese Zahlen?
Das Produkt von zwei Zahlen ist 4, und die Summe ihrer Quadratzahlen ist 17. Wie lauten diese Zahlen?
Um dieses Problem zu lösen, musst du es zunächst algebraisch darstellen. "Das Produkt zweier Zahlen ist 4" kann algebraisch folgendermaßen ausgedrückt werden: . Ähnlich wird "die Summe ihrer Quadratzahlen ist 17" algebraisch ausgedrückt als: . Daher erhältst du das folgende nichtlineare Gleichungssystem:

Löse es durch Substitution. Entferne zuerst das
aus der ersten Gleichung,

Setze nun den Wert von
in die zweite Gleichung ein

Das heißt,

Du erhältst also eine biquadratische Gleichung, die du lösen musst. Hierfür verwendest du die Variablenänderung . Durch Substitution dieser Variablenänderung erhältst du,

Löse diese Gleichung mit der abc-Formel:

Die Lösungen der biquadratischen Gleichung sind also:

Dies impliziert, dass

Das heißt, du hast 4 mögliche Werte für . Setze diese Werte in die erste Gleichung ein, dann erhältst du,

Die 4 Lösungen für das Problem sind also:

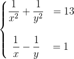
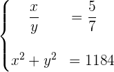
Gesucht ist ein Bruch, der 5/7 entspricht und dessen quadrierte Terme sich zu 1184 addieren
Um dieses Problem algebraisch auszudrücken, wird der äquivalente Bruch
als Zähler und
als Nenner ernannt. Somit wird das Problem mit dem folgenden nichtlinearen Gleichungssystem gelöst:

Das Gleichungssystem wird durch Substitution gelöst. Entferne zunächst das
aus der ersten Gleichung:

Setze nun den Wert von
in die zweite Gleichung ein

So ergibt sich:

Das bedeutet folgendes:

Löse nun diese quadratische Gleichung

Setze dann jeden der erhaltenen Werte in die andere Gleichung ein:

Daher sind die Entsprechungen des Bruches 5/7 :

Mit KI zusammenfassen:








