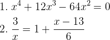
1Löse die folgenden Gleichungen:

1 
Diese können mit der abc-Formel oder durch Faktorisierung gelöst werden. Wir wenden die Faktorisierung an:


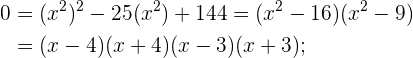
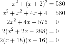
2
Wir faktorisieren:


3
Wir faktorisieren:


4
Wir faktorisieren:


2Löse die folgenden Gleichungen:
1 
Wir faktorisieren:


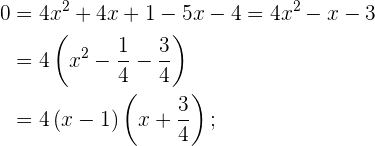
2
Das zweite Glied schreiben wir mit einem gemeinsamen Nenner und zwischen den einzelnen Gliedern wird abwechselnd ein Produkt aus den Nennern gebildet. Im Anschluss faktorisieren wir:



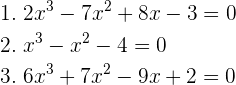
3Löse die folgenden Gleichungen:
1
Wir faktorisieren:


2
Wir faktorisieren:


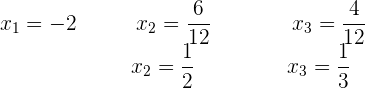
4Löse die folgenden Gleichungen:
1
Als Erstes sehen wir uns die Wurzel der Gleichung an. Danach quadrieren wir beide Glieder und führen alle nötigen Berechnungen durch.



2 
Wir rechnen die Wurzel der Gleichung aus. Danach quadrieren wir beide Glieder und führen alle nötigen Berechnungen durch. Wir lösen mit der abc-Formel:




5Bestimme die Nullstellen von:
1
Wir wenden das Horner-Schema an, da es sich um eine Gleichung 3. Grades handelt. Die Divisoren von
sind
Somit:

Die Faktorisierung ist also
Deshalb:

2
Wir wenden das Horner-Schema an, da es sich um eine Gleichung 3. Grades handelt. Die Divisoren von
sind
Somit:

Die Faktorisierung ist also
Bei der Berechnung der Diskriminante des Trinoms stellen wir fest, dass das Trinom keine Nullstellen hat, da das Ergebnis negativ ist. Es gibt also nur eine Lösung.

3
Wir wenden das Horner-Schema an, da es sich um eine Gleichung 3. Grades handelt. Die Divisoren von
sind
Somit:

Die Faktorisierung ist also
Wir lösen die quadratische Gleichung mit der abc-Formel:


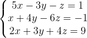
6Löse die folgenden Gleichungssysteme: 
1
Wir bilden die zum System gehörende Koeffizientenmatrix und lösen.

Somit ist
Übertragen wir die letzte Matrix in das dazugehörige Gleichungssystem, erhalten wir
und somit:

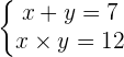
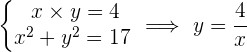
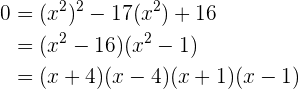
2
Wir bestimmen eine Unbekannte der ersten Gleichung und setzen den resultierenden Ausdruck in die zweite ein. Danach lösen wir die quadratische Gleichung.



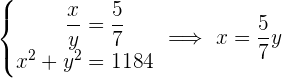
3
Wir bestimmen eine Unbekannte der ersten Gleichung und setzen den resultierenden Ausdruck in die zweite ein. Danach lösen wir die quadratische Gleichung.



4
Wir setzen den Ausdruck, der für
steht, in die zweite Gleichung ein. Danach quadrieren wir beide Glieder der Gleichung und lösen.



7Bestimme den Wert für
, sodass die Lösungen der Gleichung
denselben Wert haben.
Wir berechnen die Diskriminante und setzen gleich null. Wir erhalten somit eine doppelte Nullstelle.

Die möglichen Werte für den Koeffizienten des linearen Terms sind 
8Bestimme den Wert von zwei Zahlen, deren Summe fünf, und das Produkt dieser Zahlen
ist.

Die Zahlenpaare sind
und
.
9Bestimme das Alter von Peter, wobei du weißt, dass er in
Jahren die Hälfte des Quadrats seines Alters von vor
Jahren alt sein wird.
ist sein tatsächliches Alter. Vor
Jahren war er
Jahre alt und in
wird der
Jahre alt sein: 

Peter ist
Jahre alt.
10Um ein rechteckiges Grundstück mit
einzuzäunen, wurden
Maschendrahtzaun verwendet. Berechne die Maße des Grundstücks.
. Hierzu können wir das Problem mit einer Zeichnung wie folgt darstellen: 


Das Grundstück hat die Maße
und 
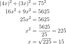
11Die drei Seiten eines rechtwinkligen Dreiecks sind proportional zu den Zahlen
Berechne die Länge jeder Seite des Dreiecks, wenn du weißt, dass es eine Fläche von
hat.
. Mithilfe der Formel zur Berechnung der Fläche kann dieser Faktor ermittelt werden. 


Die Seiten des Dreiecks sind
und
lang.
12Ein rechteckiger Garten ist
lang und
breit. Er ist von einem Sandweg mit einer einheitlichen Breite umgeben. Berechne die Breite des Weges, wenn du weißt, dass er eine Fläche von
hat.
des Sandweges, ergibt sich ein größeres Rechteck mit den Maßen
mal
, wie in der Abbildung zu sehen ist. Wir erhalten die Fläche des Sandweges. 


Der Weg ist also
breit.
13Berechne die Maße eines Rechtecks, dessen Diagonale
misst, wobei du weißt, dass es ähnlich zu einem Rechteck mit den Maßen
mal
ist.
mal
ähnlich ist zu dem Rechteck mit den Maßen
mal
, gilt dies auch für das Rechteck, dessen Diagonale
misst. Wir nehmen also an, dass seine Seiten proportional mal einen Faktor
sind, wie die Abbildung zeigt. Wir wenden den Satz des Pythagoras an und berechnen den Wert der Variable. 

Das Rechteck ist also
lang und
breit.
14Bestimme eine ganze Zahl, wobei du weißt, dass die Summe mit ihrem Kehrwert
ist.



Die Zahl ist 5, da die zweite Wurzel einen Bruch ergibt.
15Berechne zwei natürliche Zahlen, deren Differenz zwei ist und deren Summe der Quadrate
ist.
, wenn
für eine Zahl steht. 
Die Zahlen sind
und 
16Zwei Schläuche A und B füllen zusammen einen Pool in 2 Stunden. A schafft es allein in 3 Stunden weniger als B. Berechne, wie viele Stunden jeder von ihnen braucht, um das Becken zu füllen.
Stunden zum Befüllen des Pools benötigt, benötigt Schlauch B
Stunden. Somit befüllt A pro Stunde
des Pools und B befüllt
. Da zur vollständigen Befüllung beide Schläuche verwendet werden, gilt: 

Schlauch A benötigt
Stunden und Schlauch B
Stunden.
17Finde zwei Zahlen, deren Produkt 4 und die Summe ihrer Quadrate 17 ist.



Die möglichen Zahlenpaare sind
und 
18Bestimme einen Bruch, der
entspricht und dessen Terme zum Quadrat die Summe
ergeben.




Der Bruch, der die Bedingungen erfüllt, ist
, da die negativen Vorzeichen bei
wegfallen und wir den ersten Bruch erhalten.
19Ein Kunde bezahlt in einem Supermarkt ingesamt
Euro für
l Milch,
kg Schinken und
l Olivenöl. Berechne den Preis jedes Artikels, wenn du weißt, dass ein Liter Olivenöl dreimal so viel kostet wie ein Liter Milch. Ein kg Schinken kostet genauso viel wie
l Olivenöl plus
l Milch.
sind der jeweilige Preis für Milch, Schinken und Ölivenöl. Wir stellen ein entsprechendes Gleichungssystem auf und lösen. 


Die Milch kostet
Euro pro Liter, der Schinken
Euro pro kg und das Olivenöl
Euro pro Liter.
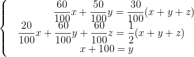
20Eine Videothek ist auf drei Arten von Filmen spezialisiert: Kinderfilme, amerikanische Western und Horror. Es ist bekannt, dass:
der Kinderfilme plus
der Westernfilme machen
der gesamten Filme aus.
der Kinderfilme plus
der Westernfilme plus
der Horrorfilme machen die Hälfte der gesamten Filme aus.
Bestimme die Anzal der Filme des jeweiligen Genres, wobei bekannt ist, dass es
mehr Westernfilme als Kinderfilme gibt.
sind jeweils die Kinderfilme, die Westernfilme und die Horrorfilme. Wir bilden das entsprechende Gleichungssystem und lösen. 
Wir vereinfachen das Gleichungssystem



Die Videothek hat
Kinderfilme,
Westernfilme und
Horrorfilme.
Mit KI zusammenfassen:
