Löse die folgenden Gleichungssysteme mit dem Gauß-Verfahren:
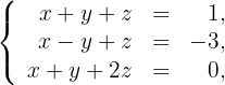
1 

Dieses Feld ist erforderlich.

Dieses Feld ist erforderlich.

Dieses Feld ist erforderlich.
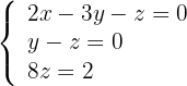
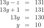
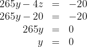
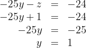
1Wir schreiben in Matrizenform. Wir ersetzen die Zeile
durch 

Wir ersetzen die Zeile
durch 

2Aus der vorherigen Matrix erhalten wir

3Wir setzen den Wert von
in die 2. Gleichung ein und erhalten

4Wir setzen die Werte von
in die 1. Gleichung ein und erhalten

5Das System ist eindeutig lösbar:

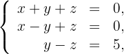
2 

Dieses Feld ist erforderlich.

Dieses Feld ist erforderlich.

Dieses Feld ist erforderlich.
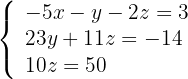
1Wir schreiben in Matrizenform. Wir ersetzen die Zeile
durch 

Wir ersetzen die Zeile
durch 

2Aus der vorherigen Matrix erhalten wir

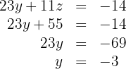
3Wir setzen den Wert von
in die 2. Gleichung ein und erhalten

4Wir setzen die Werte von
in die 1. Gleichung ein und erhalten

5Das System ist eindeutig lösbar:

3 

Dieses Feld ist erforderlich.

Dieses Feld ist erforderlich.

Dieses Feld ist erforderlich.
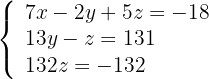
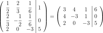
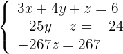
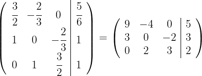
1Wir schreiben in Matrizenform. Wir ersetzen die Zeilen
durch
und 

Wir ersetzen die Zeile
durch 

2Aus der vorherigen Matrix erhalten wir

und somit

3Wir setzen den Wert von
in die 2. Gleichung ein und erhalten

4Wir setzen die Werte von
in die 1. Gleichung ein und erhalten

5Das System ist eindeutig lösbar:

4 

Dieses Feld ist erforderlich.

Dieses Feld ist erforderlich.

Dieses Feld ist erforderlich.
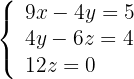
1Wir schreiben in Matrizenform. Wir ersetzen die Zeilen
durch
und 

Wir ersetzen die Zeile
durch 

2Aus der vorherigen Matrix erhalten wir

und somit

3Wir setzen den Wert von
in die 2. Gleichung ein

4Wir setzen die Werte von
in die 1. Gleichung und erhalten

5Das System ist eindeutig lösbar:

5 

Dieses Feld ist erforderlich.

Dieses Feld ist erforderlich.

Dieses Feld ist erforderlich.
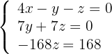
1Wir schreiben in Matrizenform. Wir ersetzen die Zeilen
durch
und 

Wir ersetzen die Zeile
durch 

2Aus der vorherigen Matrix erhalten wir

und somit

3Wir setzen den Wert von
in die 2. Gleichung ein und erhalten

4Wir setzen die Werte von
in die 1. Gleichung ein und erhalten

5Das System ist eindeutig lösbar:

6 

Dieses Feld ist erforderlich.

Dieses Feld ist erforderlich.

Dieses Feld ist erforderlich.
1Wir schreiben in Matrizenform. Wir ersetzen die Zeile
durch 

Wir ersetzen die Zeile
durch 

2Aus der vorherigen Matrix erhalten wir

und somit

3Wir setzen den Wert von
in die 2. Gleichung ein und erhalten

4Wir setzen die Werte von
in die 1. Gleichung ein und erhalten

5Das System ist eindeutig lösbar:

7 

Dieses Feld ist erforderlich.

Dieses Feld ist erforderlich.

Dieses Feld ist erforderlich.
1Wir schreiben in Matrizenform. Wir ersetzen die Zeile
durch 

Wir ersetzen die Zeile
durch 

Wir ersetzen die Zeile
durch 

2Aus der vorherigen Matrix erhalten wir

und somit

3Wir setzen den Wert von
in die 2. Gleichung ein und erhalten

4Wir setzen die Werte von
in die 1. Gleichung ein und erhalten

5Das System ist eindeutig lösbar:

8 

Dieses Feld ist erforderlich.

Dieses Feld ist erforderlich.

Dieses Feld ist erforderlich.
1Wir schreiben in Matrizenform. Wir ersetzen die Zeilen
durch 

Wir ersetzen die Zeilen
durch 

Wir ersetzen die Zeile
durch 

2Aus der vorherigen Matrix erhalten wir

luego

3Wir setzen den Wert von
in die 2. Gleichung ein und erhalten

4Wir setzen die Werte von
in die 1. Gleichung ein und erhalten

5Das System ist eindeutig lösbar:

9 

Dieses Feld ist erforderlich.

Dieses Feld ist erforderlich.

Dieses Feld ist erforderlich.
1Wir schreiben in Matrizenform. Wir ersetzen die Zeilen
durch 

Wir ersetzen die Zeile
durch 

Wir ersetzen die Zeile
durch 

2Aus der vorherigen Matrix erhalten wire

luego

3Wir setzen den Wert von
in die 2. Gleichung ein und erhalten

4Wir setzen den Wert von
in die 1. Gleichung ein und erhalten

5Das System ist eindeutig lösbar:

10 

Dieses Feld ist erforderlich.

Dieses Feld ist erforderlich.

Dieses Feld ist erforderlich.
1Wir schreiben in Matrizenform. Wir ersetzen die Zeilen
durch 

Wir ersetzen die Zeilen
durch 

Wir ersetzen die Zeile
durch 

2Aus der vorherigen Matrix erhalten wir

und somit

3Wir setzen den Wert von
in die 2. Gleichung ein und erhalten

4Wir setzen die Werte von
in die 1. Gleichung ein und erhalten

5Das System ist eindeutig lösbar:

11 

Dieses Feld ist erforderlich.

Dieses Feld ist erforderlich.

Dieses Feld ist erforderlich.
1Wir schreiben in Matrizenform. Wir ersetzen die Zeilen
durch 

2Aus der vorherigen Matrix erhalten wir

3Aus der 2. Gleichung erhalten wir

4Wir setzen die Werte von
in die 1. Gleichung ein und erhalten

5Das System ist eindeutig lösbar:

12 

Dieses Feld ist erforderlich.

Dieses Feld ist erforderlich.

Dieses Feld ist erforderlich.
1Wir schreiben in Matrizenform. Wir ersetzen die Zeile
durch 

Wir ersetzen die Zeile
durch

2Aus der vorherigen Matrix erhalten wir

3Aus der 3. Gleichung erhalten wir

Aus der 2. Gleichung erhalten wir

4Wir setzen die Werte von
in die 1. Gleichung ein und erhalten

5Das System ist eindeutig lösbar:

Mit KI zusammenfassen:
