Ein Gleichungssystem ist nichtlinear, wenn mindestens eine der Gleichungen nicht vom Grad 1 ist.
Beispiel:
Schritte des Substitutionsverfahrens
Diese Gleichungssysteme werden normalerweise mit dem Substitutionsverfahren gelöst. Hierzu führen wir folgende Schritte durch:
1 Wir bestimmen die Variable in einer der Gleichungen, vorzugweise in der Gleichung vom Grad 1.
2 Wir setzen den erhaltenen Wert in die andere Gleichung ein.
3 Wir lösen die resultierende Gleichung.
4 Wir setzen jeden der resultierenden Werte in die andere Gleichung ein. Daraus ergeben sich die entsprechenden Werte für die andere Variable.


Aufgaben mit Lösungen zu Gleichungssystemen

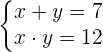
1 Wir bestimmen die Variable der Gleichung vom Grad 1
2 Wir setzen in die andere Gleichung ein

Wir gehen wie folgt vor:

Es handelt sich und eine quadratische Gleichung

3 Wir lösen
Aus der abc-Formel ergibt sich



4 Wir bestimmen den Wert der anderen Variablen



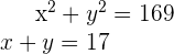
1 Wir bestimmen die Variable der Gleichung vom Grad 1 
2 Wir setzen in die andere Gleichung ein

Wir gehen wie folgt vor:


Es handelt sich um eine quadratische Gleichung

3 Wir lösen
Aus der abc-Formel ergibt sich



4 Wir bestimmen den Wert der anderen Variablen



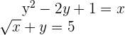
1 Wir bestimmen die Variable einer der Gleichungen
In diesem Fall gibt es keinen Grad 1, allerdings stellen wir fest, dass x bereits in der ersten Gleichung bestimmt ist.
2 Wir setzen in die andere Gleichung ein

Wir sehen uns die Wurzel an

Wir quadrieren

Wir gehen wie folgt vor:


3 Wir lösen


4 Wir bestimmen den Wert der anderen Variablen


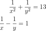
1 Variablentausch
Die ursprüngliche Gleichung sieht nun wie folgt aus
2 Wir bestimmen die Variable einer der Gleichungen

3 Wir setzen in die andere Gleichung ein

Wir gehen wie folgt vor:



4 Wir lösen
Aus der abc-Formel ergibt sich



5 Wir ermitteln den Wert der anderen Variablen


6 Wir betrachten den Variablentausch, den wir am Anfang durchgeführt haben
Mit der Lösung 


Mit der Lösung 


Mit KI zusammenfassen:








